Last update :
18/03/2026
Antiparasitic   Artesunate  
suppository
injection
Stability of pharmaceutical preparations Stability of mixtures Factors which affect stability Compatibility References pdf
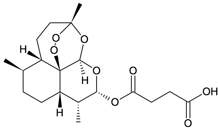
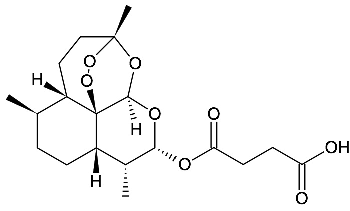
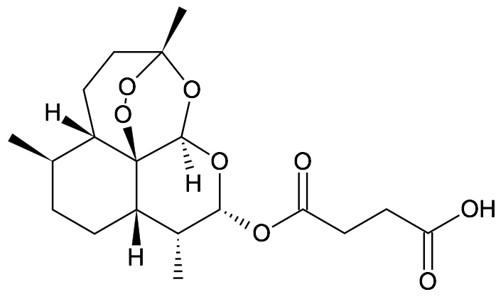
   Chemical structure  

suppository

Factors which affect stability   suppository   Factors which affect stability : Artesunate        
No data

  Mentions Légales