Τελευταία ενημέρωση :
18/03/2026
Αντιπαρασιτικό   Artesunate  
Υπόθετο
Ενέσιμο
Σταθερότητα και συμβατότητα των φαρμάκων Σταθερότητα σε μίγματα Παράγοντας που επηρεάζει τη σταθερότητα Συμβατότητες Βιβλιογραφία pdf
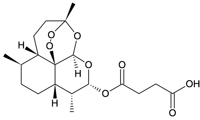
   χημική δομή  

Υπόθετο

Παράγοντας που επηρεάζει τη σταθερότητα   Υπόθετο   Παράγοντας που επηρεάζει τη σταθερότητα : Artesunate        
Δεν υπάρχουν πληροφορίες

  Mentions Légales