Letztes “update” :
18/03/2026
Antiparasitär   Artesunate  
Zäpfchen
Injektion
Stabilität von pharmazeutischen Präparaten Gemengestabilität Stabilitätbeeinflussende Faktoren Kompatibilitäten Literaturverzeichnis pdf
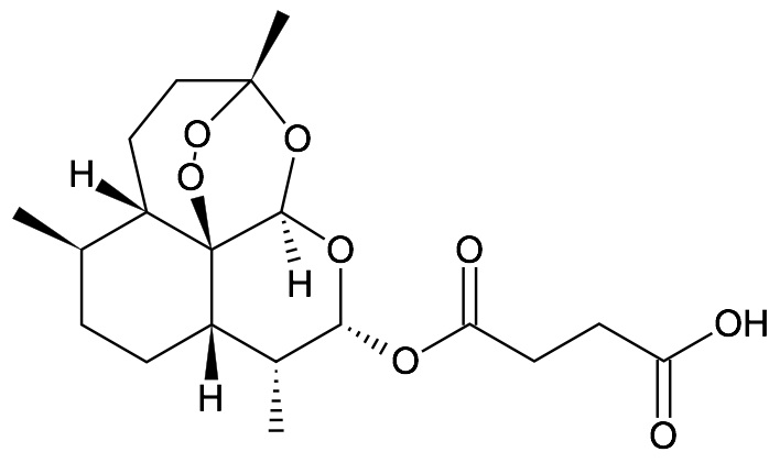
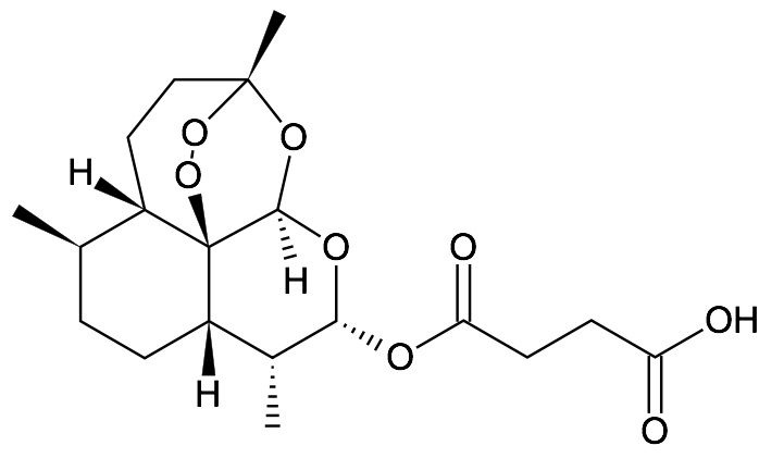
   Chemische Struktur  

Zäpfchen

Stabilitätbeeinflussende Faktoren   Zäpfchen   Stabilitätbeeinflussende Faktoren : Artesunate        
Keine Daten

  Mentions Légales