Viimeisin päivitys :
18/03/2026
Antiparasiitit   Artesunate  
Peräpuikko
Injektioneste
Vakaus lääkevalmisteen Stabilius seoksissa Tekijät, jotka vaikuttavat stabiliuteen Yhteensopivuus Viitteet pdf
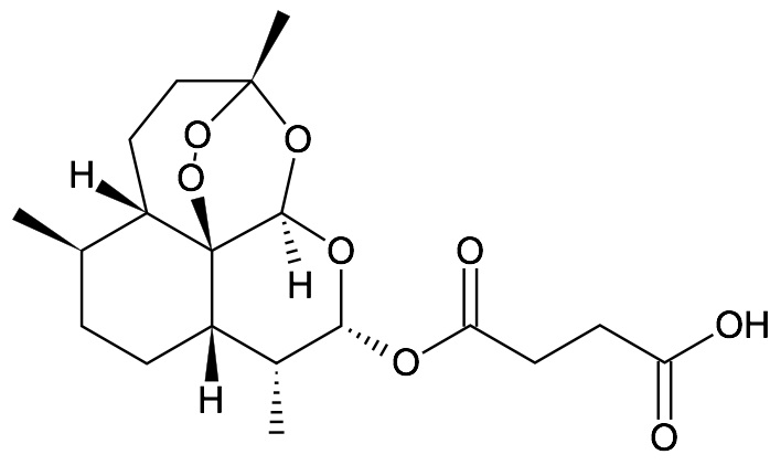
   Kemiallinen rakenne  

Peräpuikko

Tekijät, jotka vaikuttavat stabiliuteen   Peräpuikko   Tekijät, jotka vaikuttavat stabiliuteen : Artesunate        
ei tietoa

  Mentions Légales