viimane versioon :
18/03/2026
Seenevastane ravim   Amphotericin B   
suukaudne lahus
aerosool Silmatilgad Süsteravim Suuloputus lahus
Stabiilsust ravimpreparaadid Stabiilsust mõjutavad tegurid stabiilsust mõjutavad faktorid Sobimatus Viited pdf
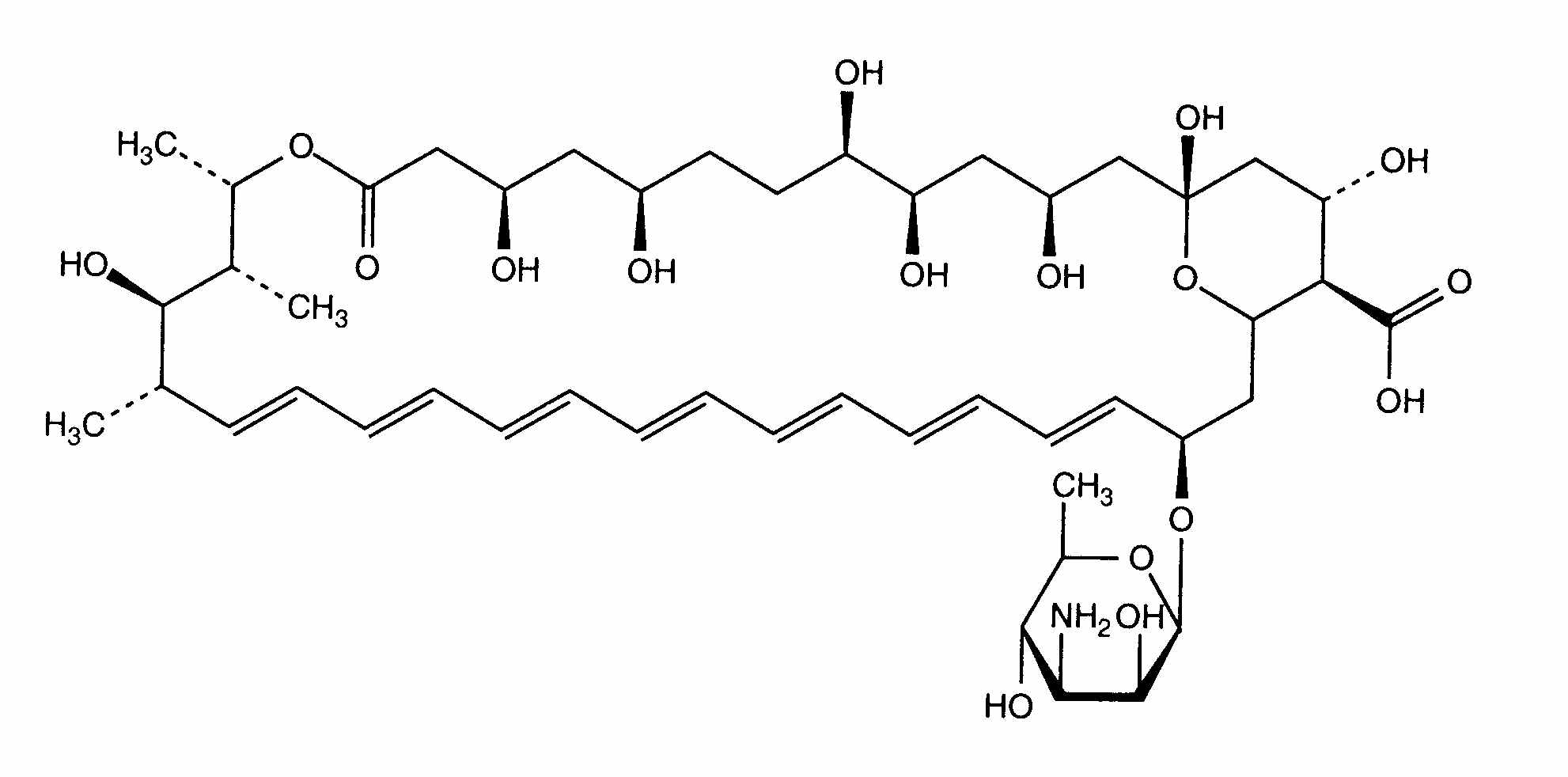
   keemiline struktuur  

suukaudne lahus

stabiilsust mõjutavad faktorid   suukaudne lahus   stabiilsust mõjutavad faktorid : Amphotericin B         
andmed puuduvad

  Mentions Légales