最新更新 :
18/03/2026
抗真菌薬   Amphotericin B   
経口液
エアロゾル 含嗽薬 注射薬 点眼薬
調剤時の安定性 混合時の安定性 安定性に影響する因子 互換性 引用文献 PDF
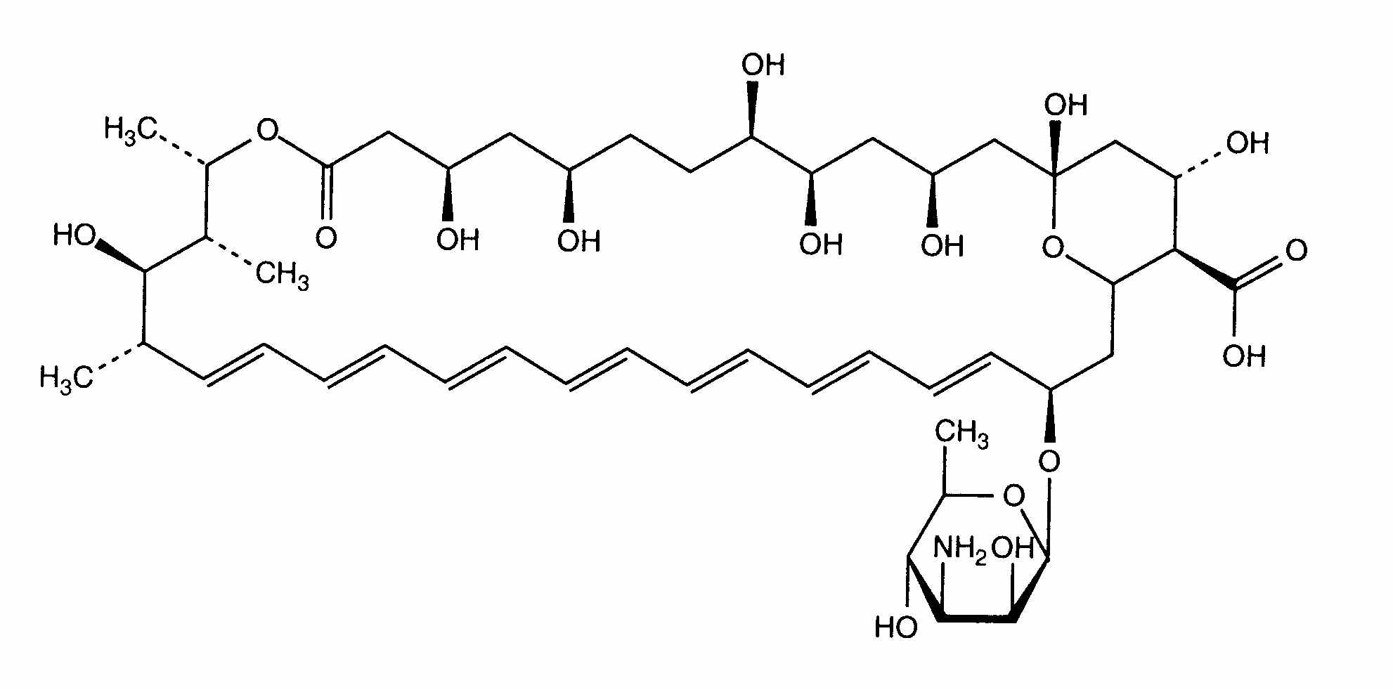
   化学構造  

経口液

安定性に影響する因子   経口液   安定性に影響する因子 : Amphotericin B         
データなし

  Mentions Légales