Posledná aktualizácia :
18/03/2026
antimykotikum   Amphotericin B   
Perorálny roztok
Aerosól Injekcia Kloktadlo Očná instilácia
Stabilita farmaceutických prípravkov Stabilita v zmesiach Faktory ovplyvňujúce stabilitu Kompatibility Odkazy na literatúru PDF
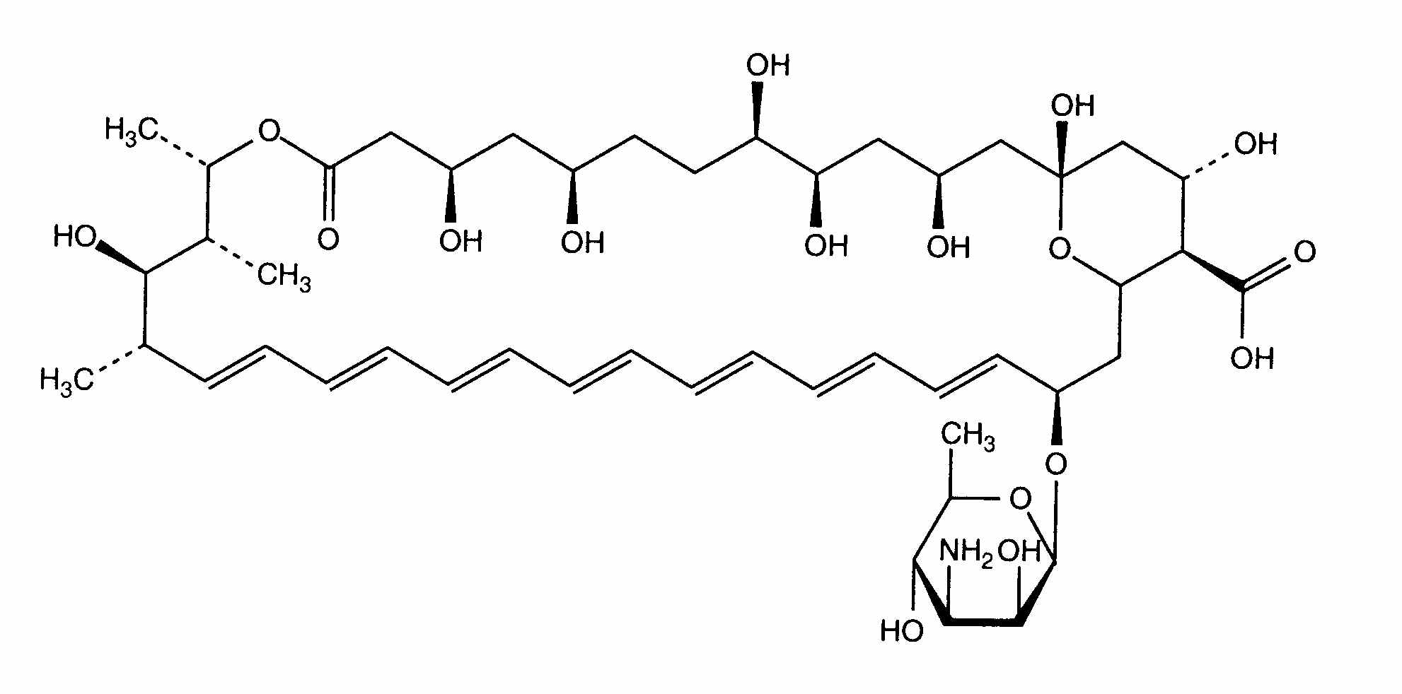
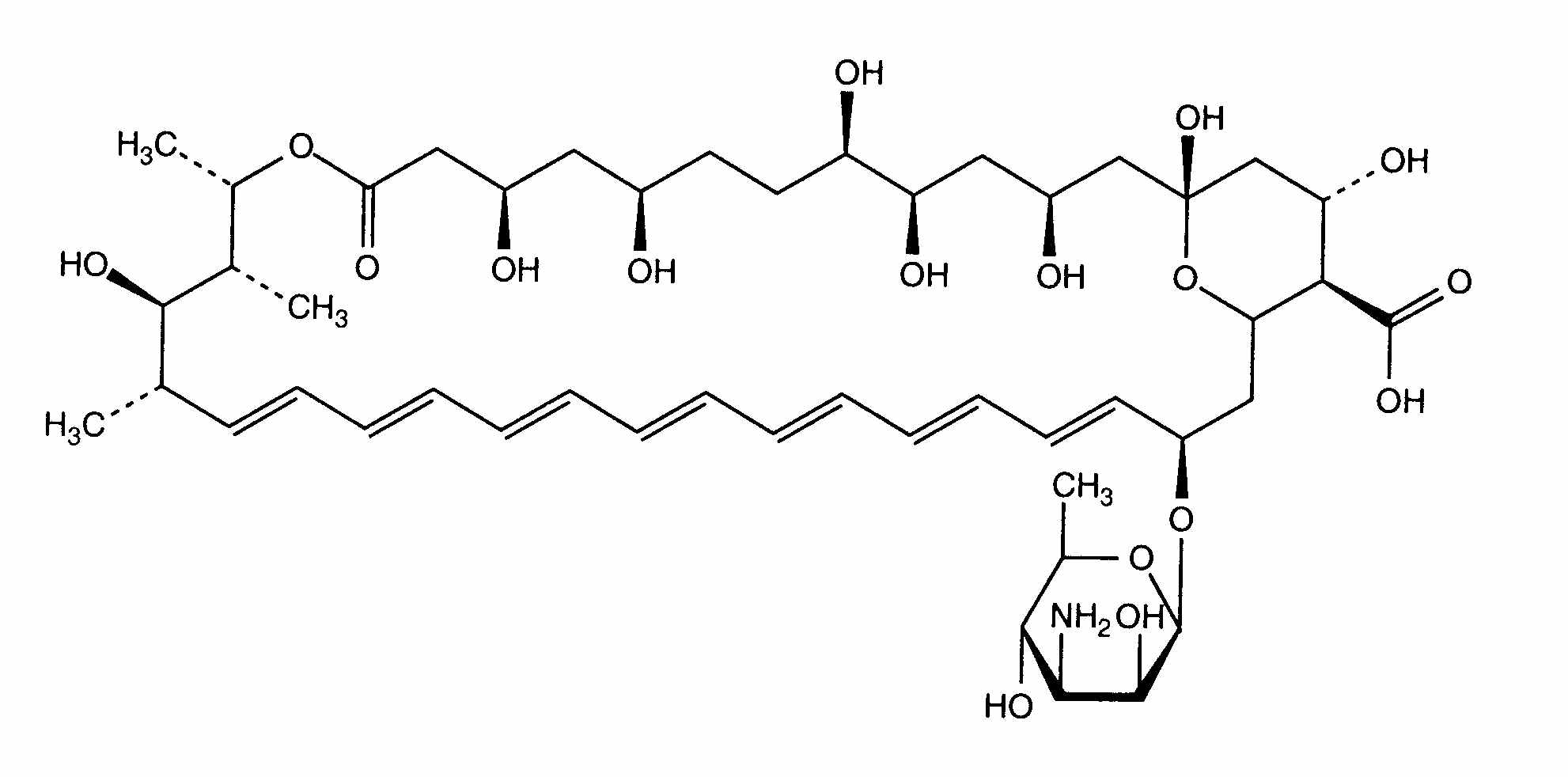
   Chemický vzorec  

Perorálny roztok

Faktory ovplyvňujúce stabilitu   Perorálny roztok   Faktory ovplyvňujúce stabilitu : Amphotericin B         
žiadne údaje

  Mentions Légales