Última actualización :
18/03/2026
Antifúngico   Amphotericin B   
Solución Oral
Aerosol Enjuagues bucales Gotas oculares Inyectables
La estabilidad de las preparaciones farmacéuticas Estabilidad en mezcla Factores que influyen sobre la estabilidad Compatibilidades Bibliografía pdf
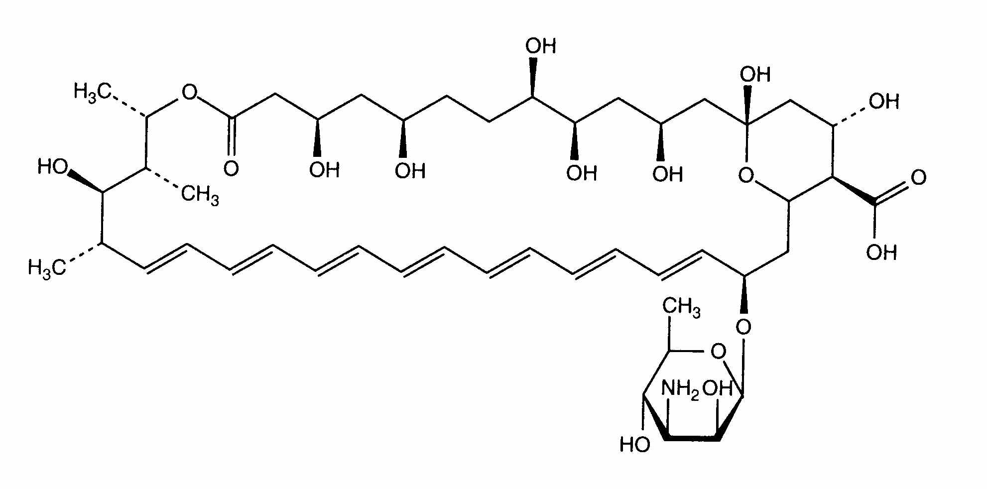
   Estructura química  

Solución Oral

Factores que influyen sobre la estabilidad   Solución Oral   Factores que influyen sobre la estabilidad : Amphotericin B         
Ausencia de datos

  Mentions Légales