最新更新 :
18/03/2026
抗真菌药   Amphotericin B   
口服剂
气雾剂 注射液 漱口水 眼药水
制剂的稳定性 混合物稳定性 影响稳定性的因素 兼容性 引用文献 PDF
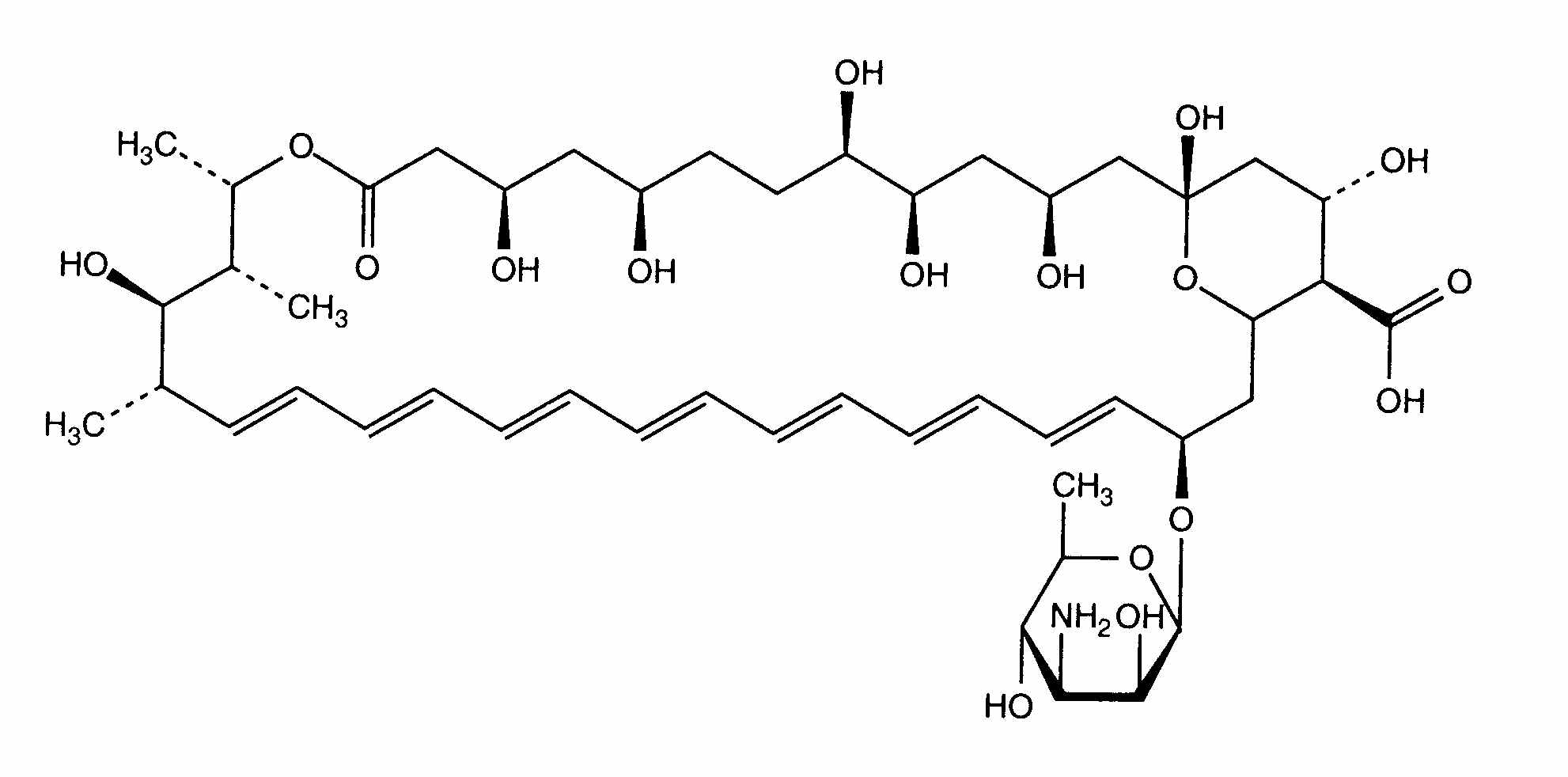
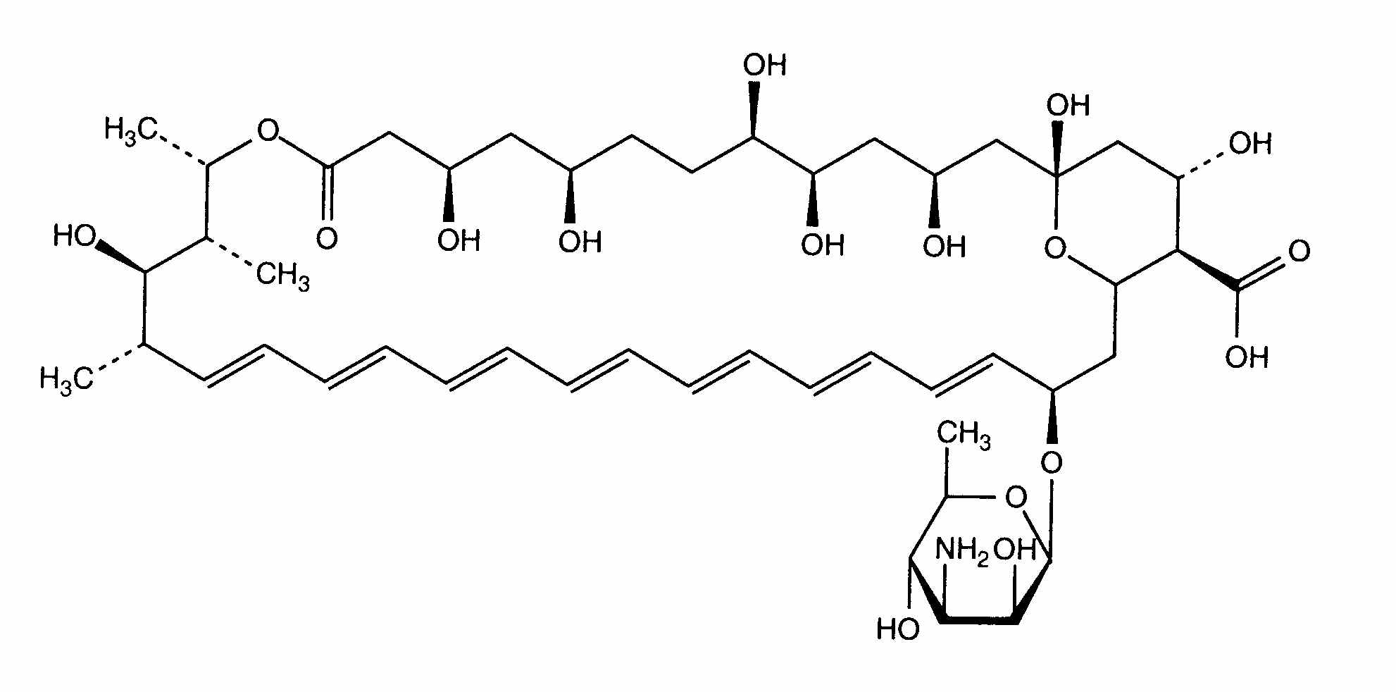
   化学式  

口服剂

影响稳定性的因素   口服剂   影响稳定性的因素 : Amphotericin B         
无数据

  Mentions Légales