Siste oppdatering :
18/03/2026
Fungicid   Amphotericin B   
Mikstur
Aerosol Injeksjon Munnvann Øyedråper
Stabilitet av farmasøytiske preparater Stabilitet i blandinger Faktorer som påvirker stabiliteten Kompatibilitet Referanser pdf
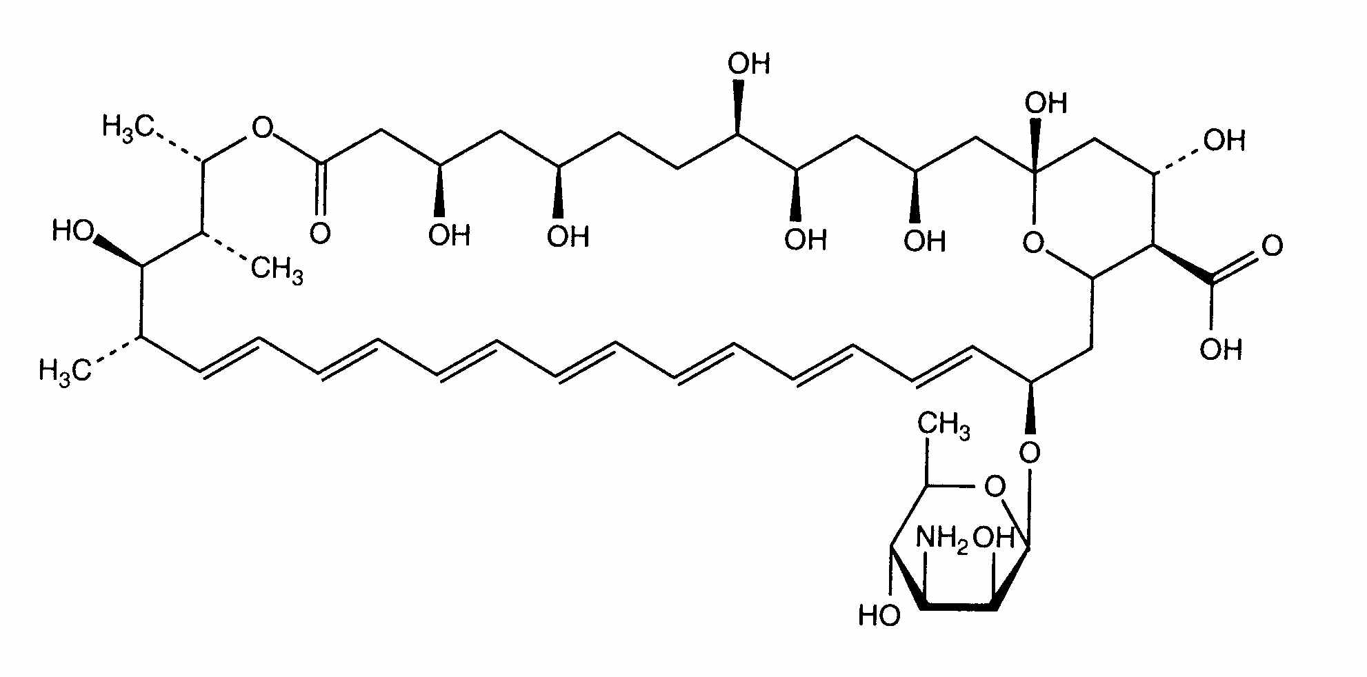
   Kjemisk struktur  

Mikstur

Faktorer som påvirker stabiliteten   Mikstur   Faktorer som påvirker stabiliteten : Amphotericin B         
Ingen opplysninger

  Mentions Légales