Zadnji put ažurirano :
18/03/2026
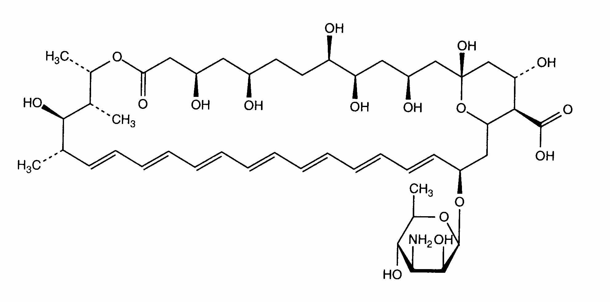
antifungicid   Amphotericin B   
oralna otopina
aerosol injekcija kapi za oko otopina za ispiranje usne šupljine
Stabilnost farmaceutskih pripravaka Stabilnost mješavine Stabilizacijski faktor Kompatibilnosti Bibliografija pdf
   Kemijska struktura  

oralna otopina

Stabilizacijski faktor   oralna otopina     Stabilizacijski faktor : Amphotericin B         
bez podataka

  Mentions Légales