Viimeisin päivitys :
18/03/2026
Sienilääkkeet   Amphotericin B   
Oraaliliuos
Aerosoli Injektioneste Silmätipat Suuvesi
Vakaus lääkevalmisteen Stabilius seoksissa Tekijät, jotka vaikuttavat stabiliuteen Yhteensopivuus Viitteet pdf
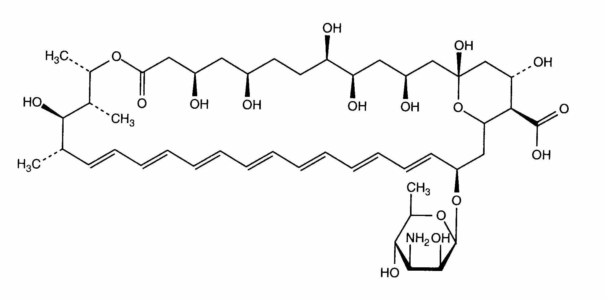
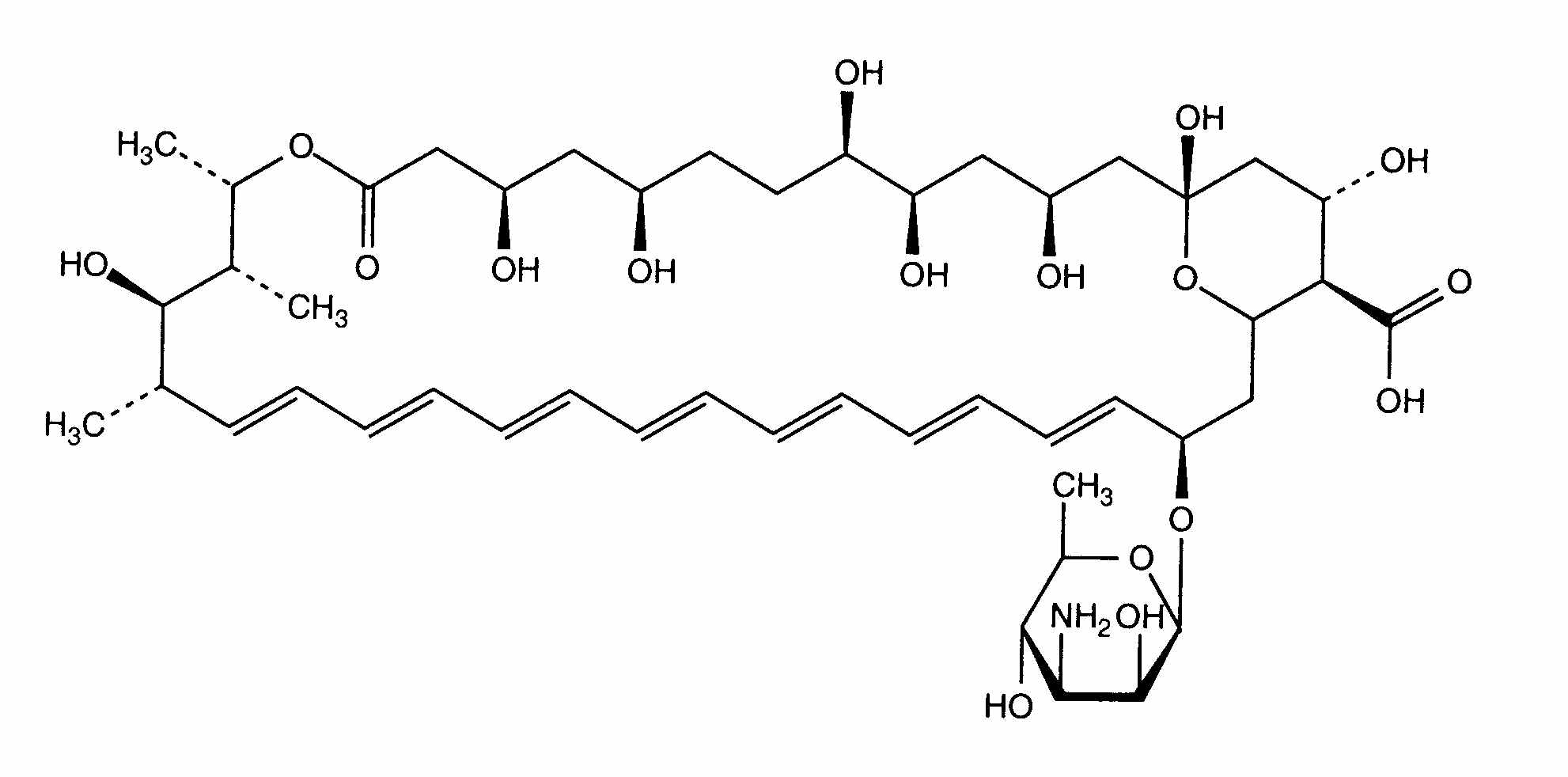
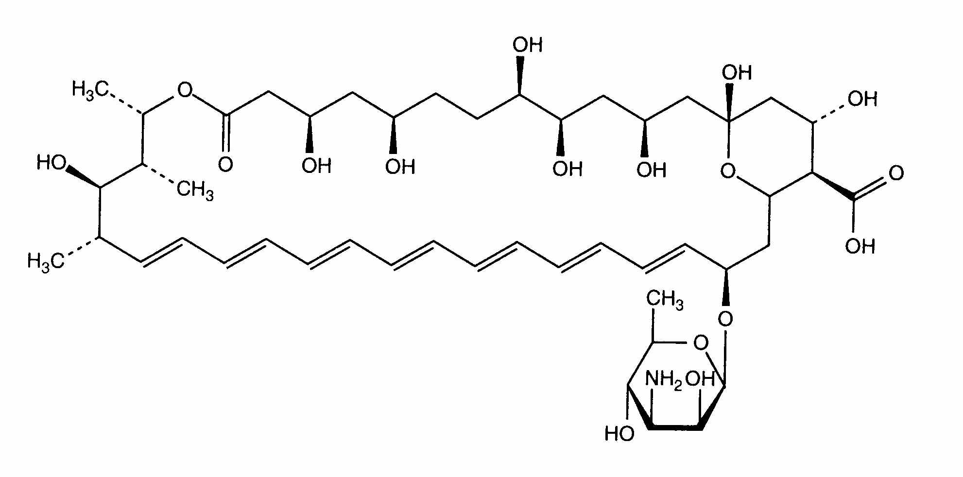
   Kemiallinen rakenne  

Oraaliliuos

Tekijät, jotka vaikuttavat stabiliuteen   Oraaliliuos   Tekijät, jotka vaikuttavat stabiliuteen : Amphotericin B         
ei tietoa

  Mentions Légales