Cập nhật lần cuối :
17/12/2025
Thuốc chống nấm   Nystatin  
Thuốc súc miệng
Tính ổn định của các chế phẩm Độ ổn định khi trộn lẫn Những yếu tố ảnh hưởng đến độ ổn định Khả năng tương thích Tài liệu tham khảo Pdf
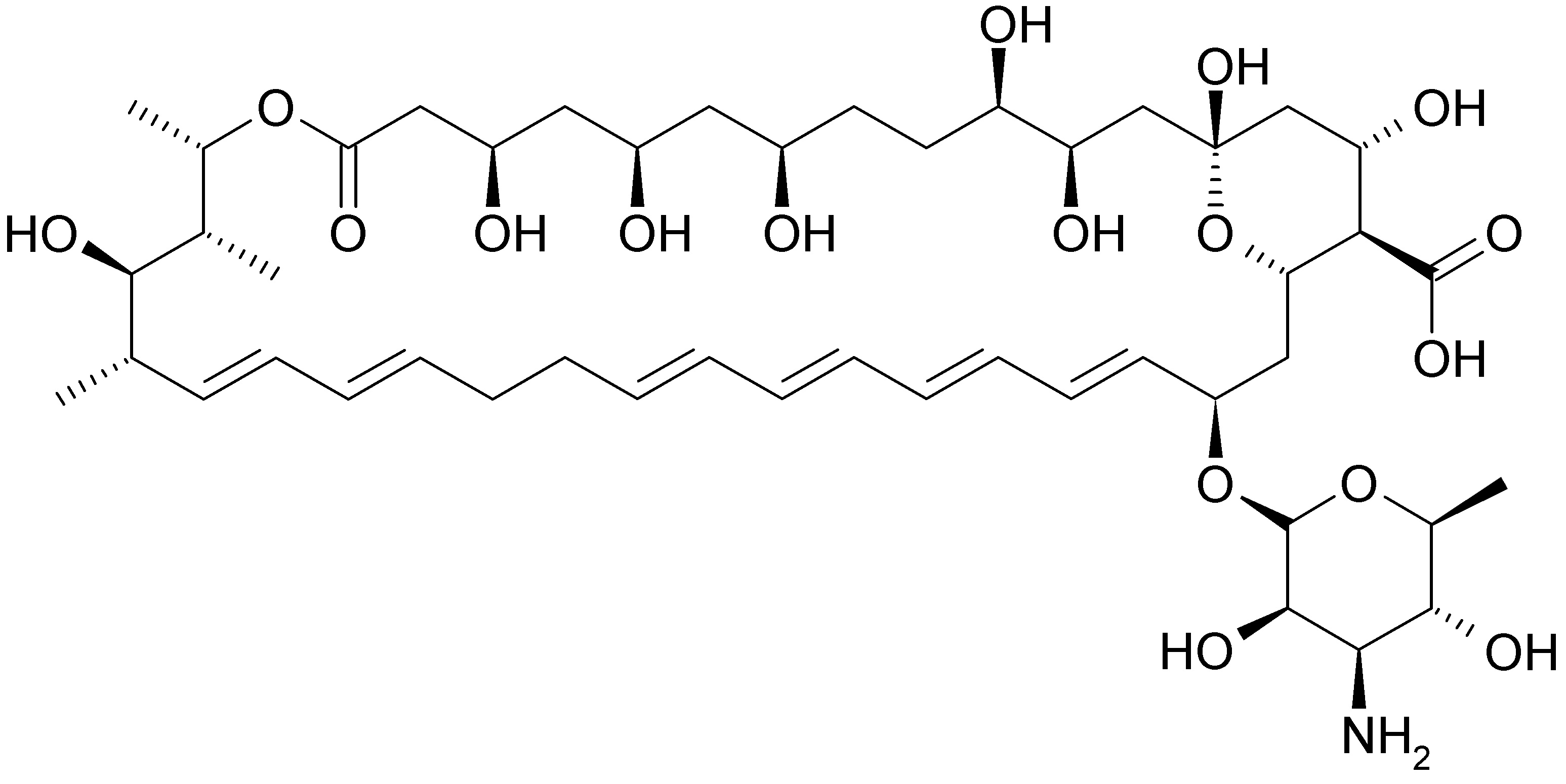
   Cấu trúc hóa học  

Thuốc súc miệng

Những yếu tố ảnh hưởng đến độ ổn định   Thuốc súc miệng   Những yếu tố ảnh hưởng đến độ ổn định : Nystatin        
Không có dữ liệu

  Mentions Légales