Posledná aktualizácia :
18/03/2026
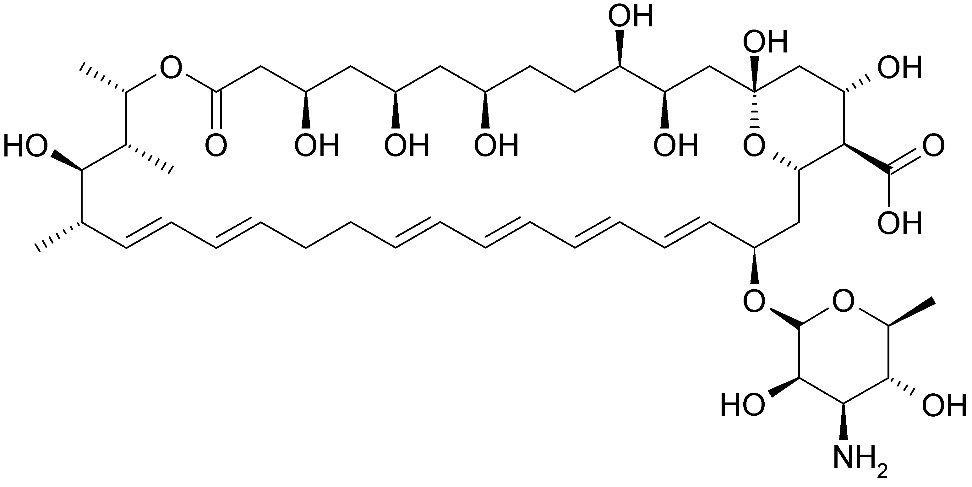
antimykotikum   Nystatin  
Kloktadlo
Stabilita farmaceutických prípravkov Stabilita v zmesiach Faktory ovplyvňujúce stabilitu Kompatibility Odkazy na literatúru PDF
   Chemický vzorec  

Kloktadlo

Faktory ovplyvňujúce stabilitu   Kloktadlo   Faktory ovplyvňujúce stabilitu : Nystatin        
žiadne údaje

  Mentions Légales