viimane versioon :
18/03/2026
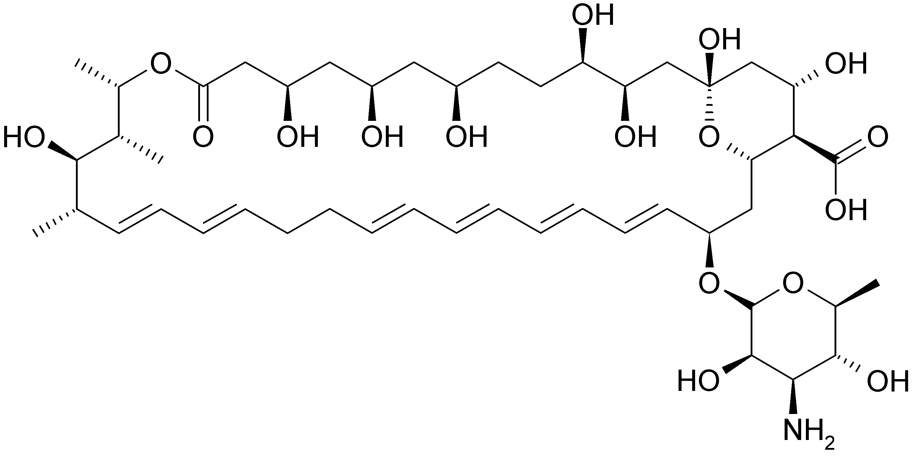
Seenevastane ravim   Nystatin  
Suuloputus lahus
Stabiilsust ravimpreparaadid Stabiilsust mõjutavad tegurid stabiilsust mõjutavad faktorid Sobimatus Viited pdf
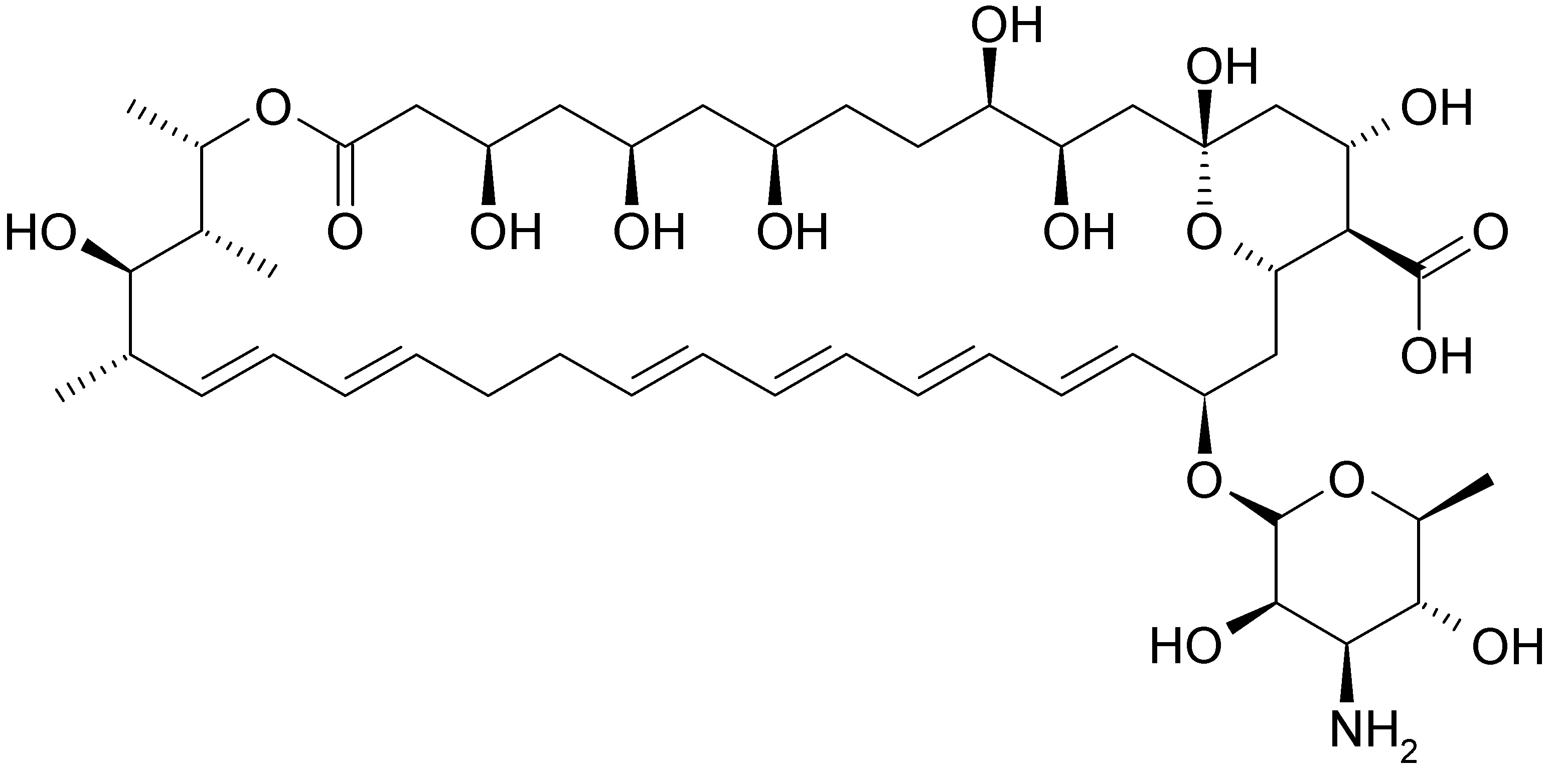
   keemiline struktuur  

Suuloputus lahus

stabiilsust mõjutavad faktorid   Suuloputus lahus   stabiilsust mõjutavad faktorid : Nystatin        
andmed puuduvad

  Mentions Légales