Ultimele actualizari :
18/03/2026
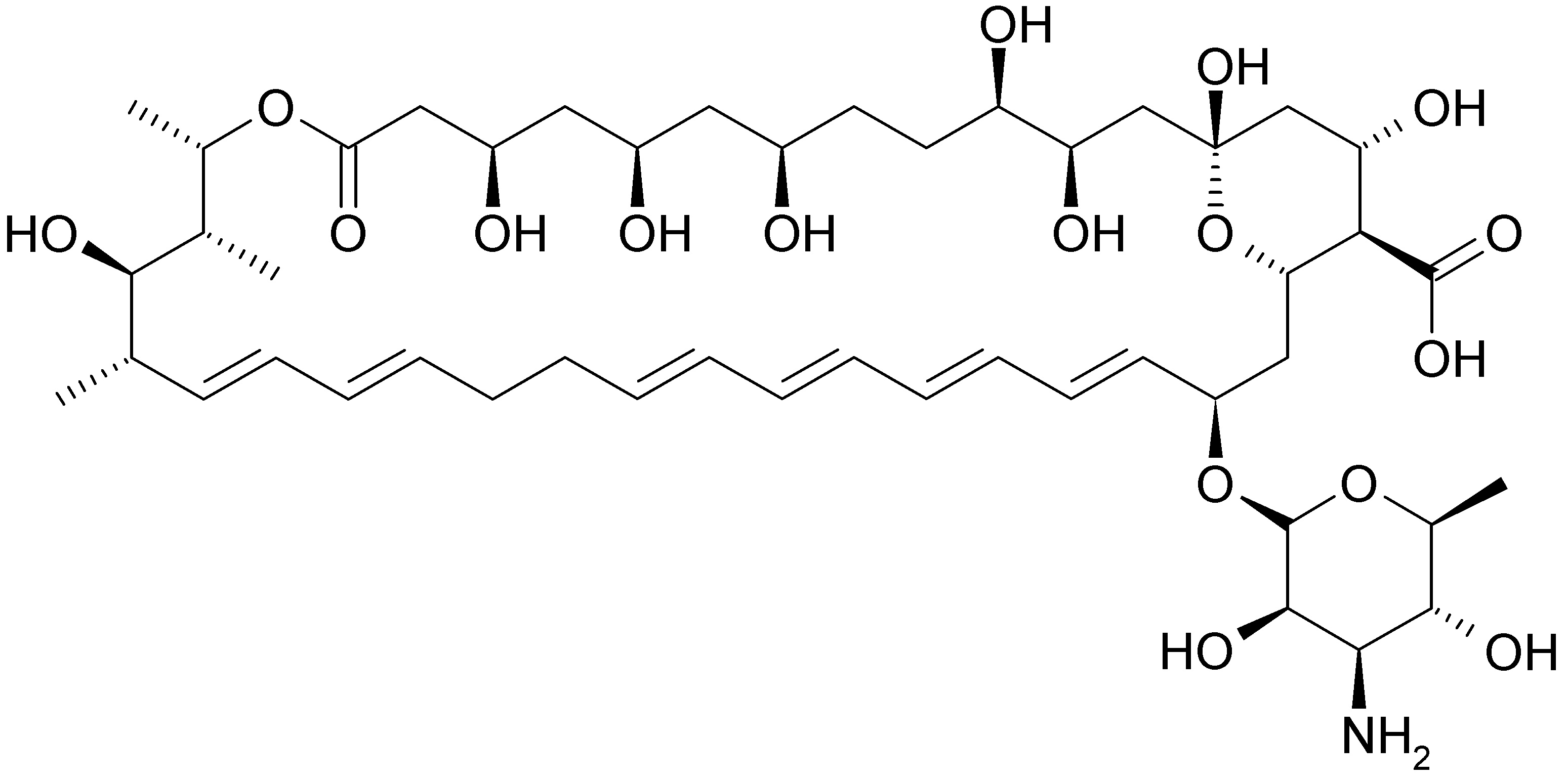
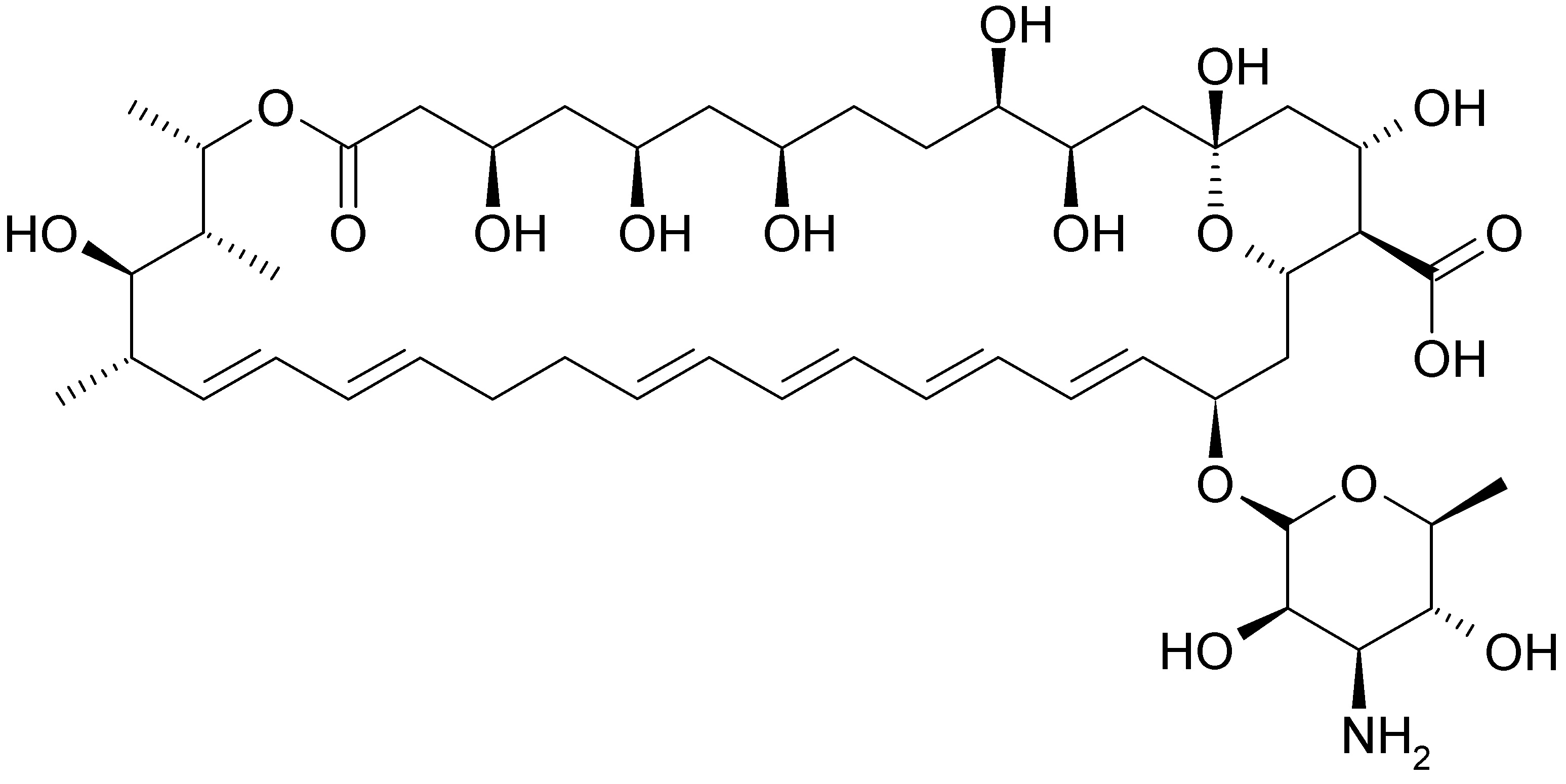
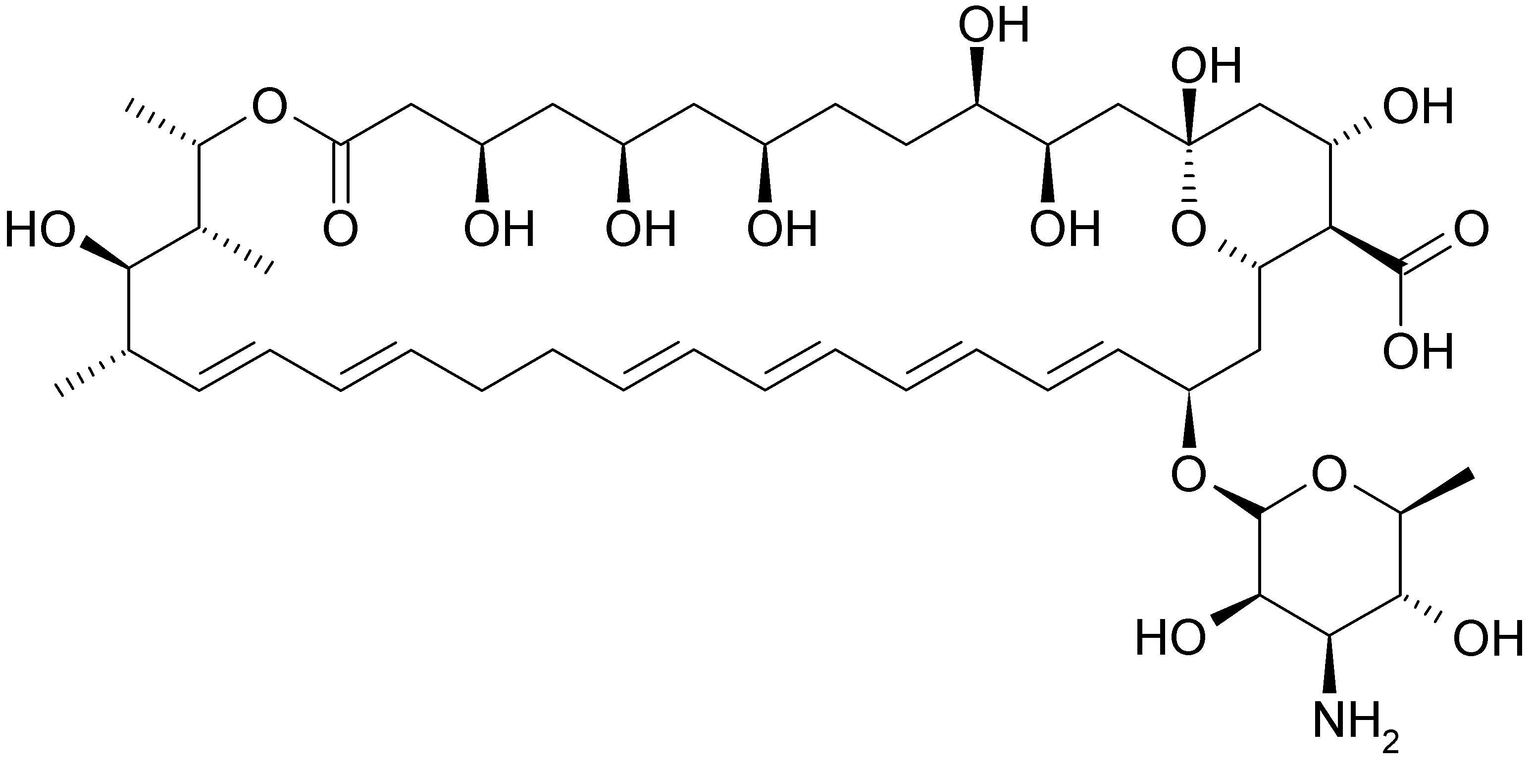
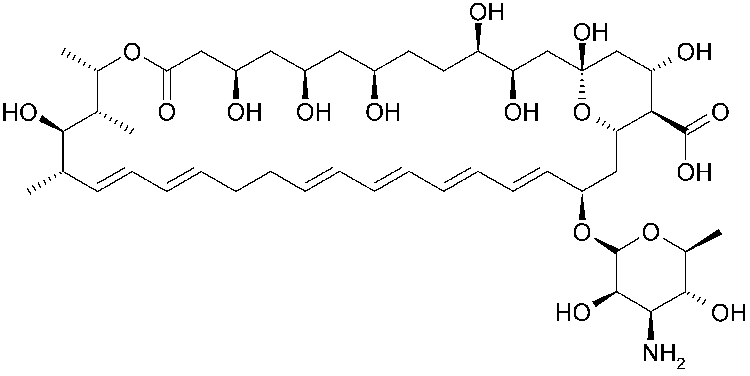
Antifungic   Nystatin  
Gargara
Stabilitatea preparatelor farmaceutice Stabilitatea in amestec Factorii care influenteaza stabilitatea Compatibilitate Bibliografie pdf
   Formula chimica  

Gargara

Factorii care influenteaza stabilitatea   Gargara   Factorii care influenteaza stabilitatea : Nystatin        
Absenta de date

  Mentions Légales