Viimeisin päivitys :
18/03/2026
Sienilääkkeet   Nystatin  
Suuvesi
Vakaus lääkevalmisteen Stabilius seoksissa Tekijät, jotka vaikuttavat stabiliuteen Yhteensopivuus Viitteet pdf
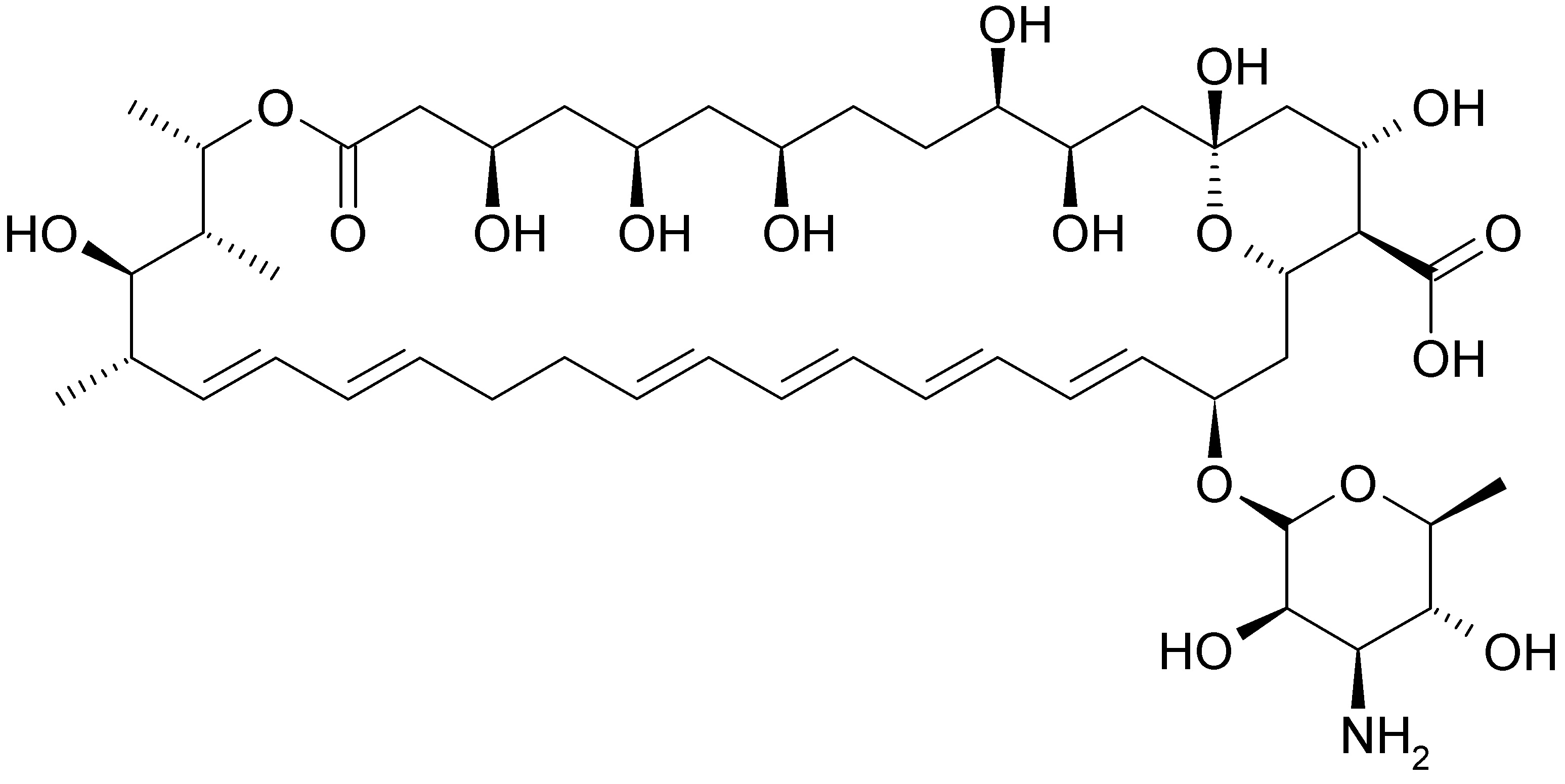
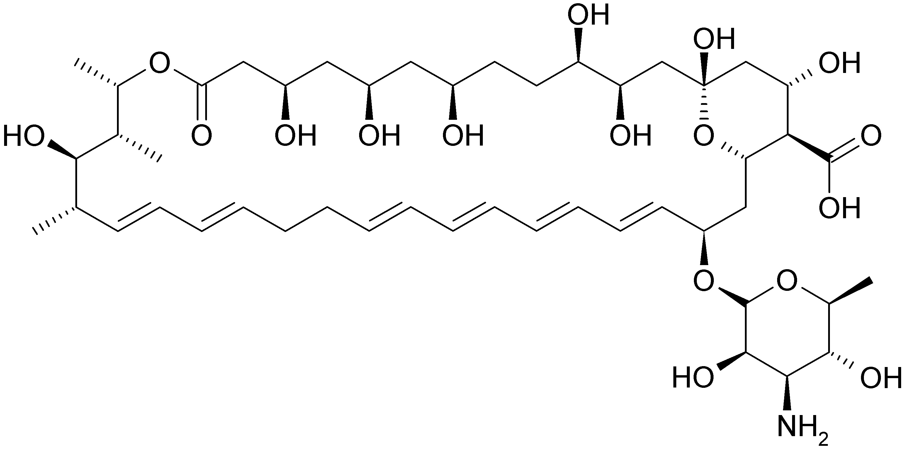
   Kemiallinen rakenne  

Suuvesi

Tekijät, jotka vaikuttavat stabiliuteen   Suuvesi   Tekijät, jotka vaikuttavat stabiliuteen : Nystatin        
ei tietoa

  Mentions Légales