Ostatnia aktualizacja :
18/03/2026
Lek przeciwgrzybiczny   Nystatin  
Roztwór do płukania gardła
Stabilność preparatów farmaceutycznych Trwałość w mieszaninie Czynnik wpływający na trwałość Zgodność Bibliografia pdf
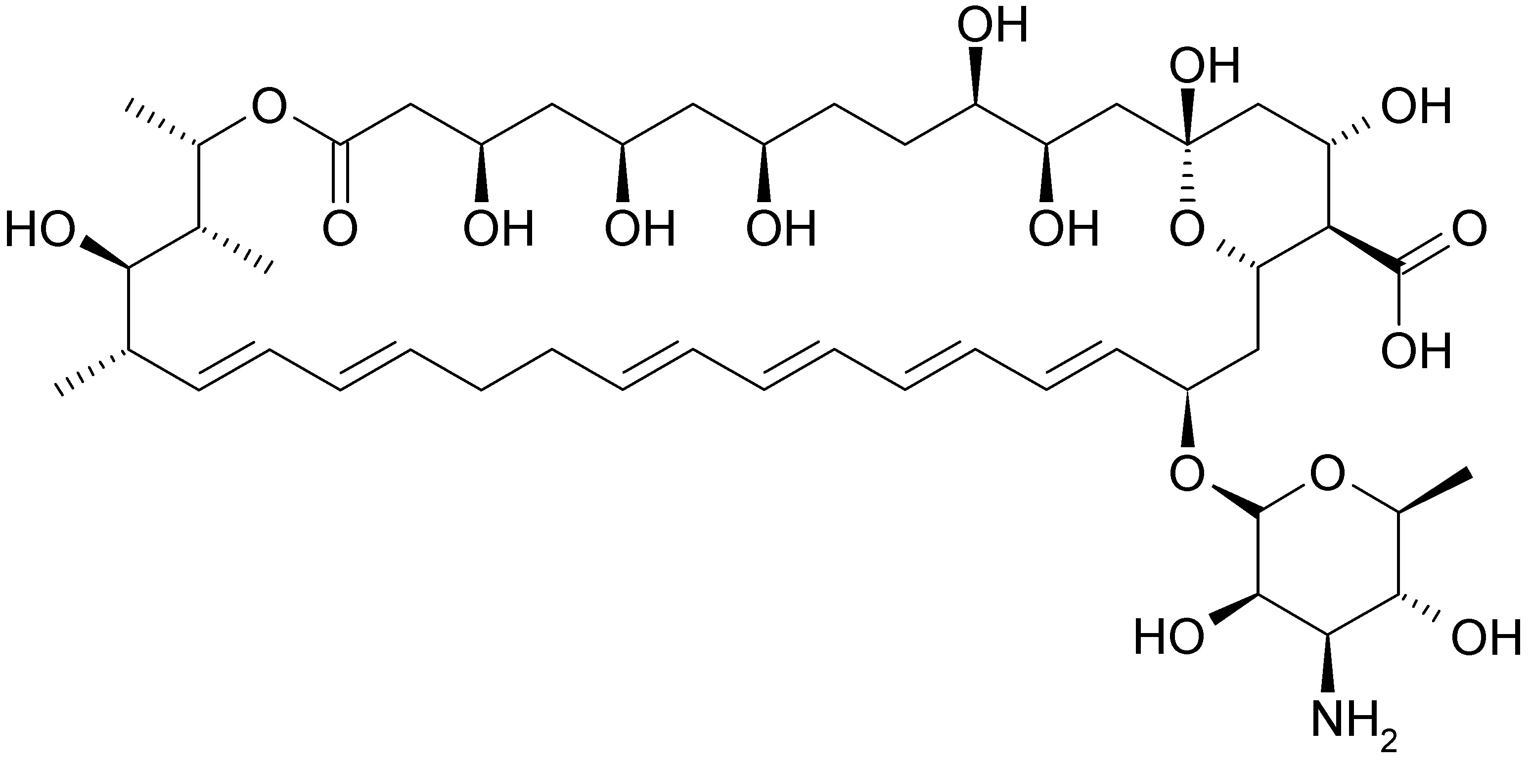
   Struktura chemiczna  

Roztwór do płukania gardła

Czynnik wpływający na trwałość   Roztwór do płukania gardła   Czynnik wpływający na trwałość : Nystatin        
Brak danych

  Mentions Légales