Son güncelleme :
18/03/2026
Antifungal   Nystatin  
Gargara
Farmasötik preparatlar Kararlılığı Karışımlardaki stabilitesi Stabiliteyi etkileyen faktörler Uyumluluk Kaynaklar pdf
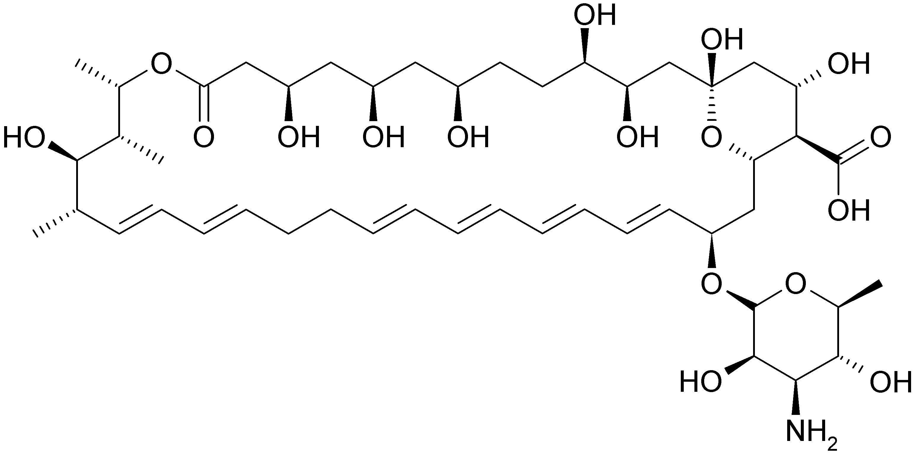
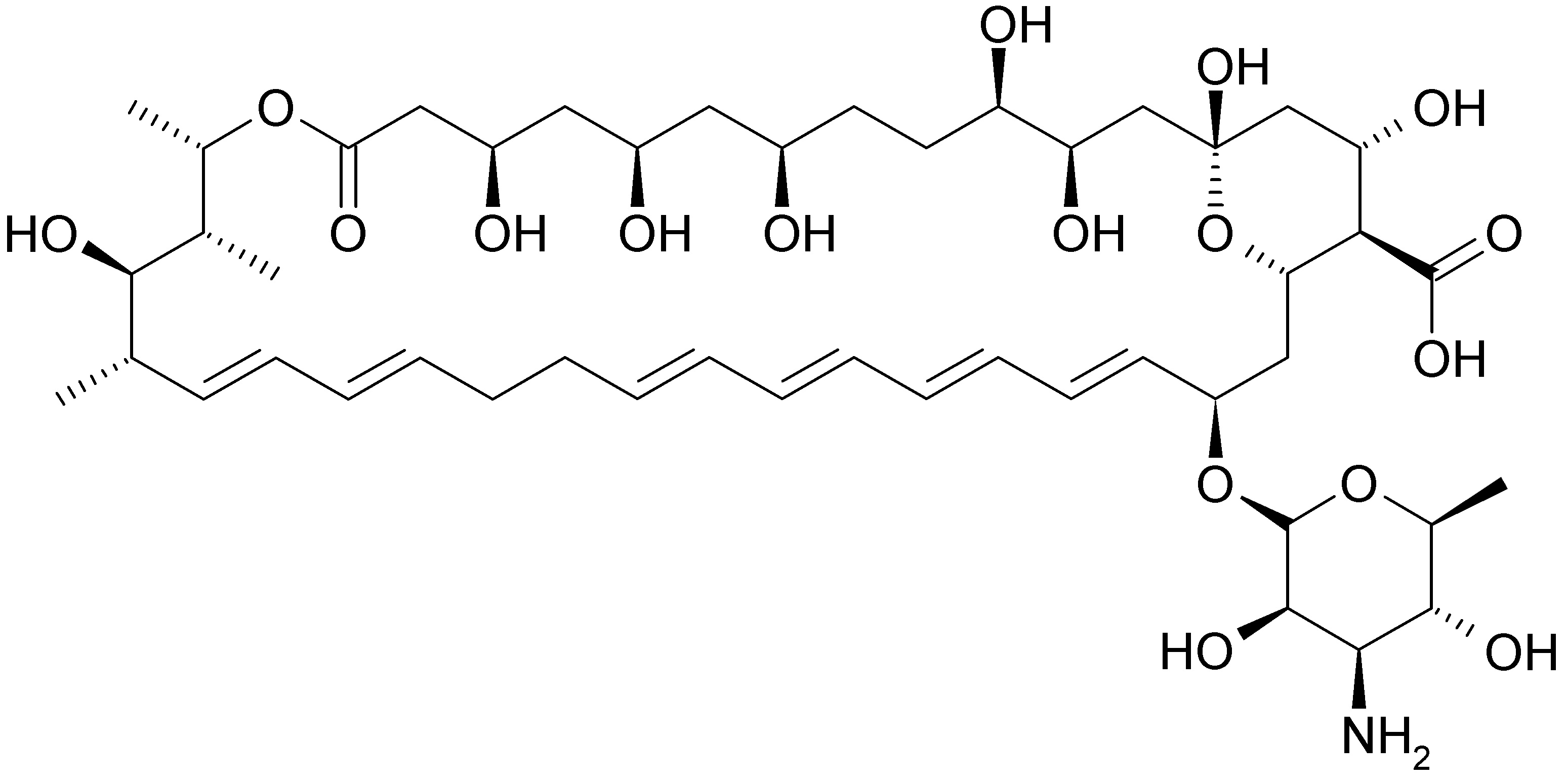
   Kimyasal yapı   

Gargara

Stabiliteyi etkileyen faktörler    Gargara   Stabiliteyi etkileyen faktörler : Nystatin        
veri yok

  Mentions Légales