Last update :
18/03/2026
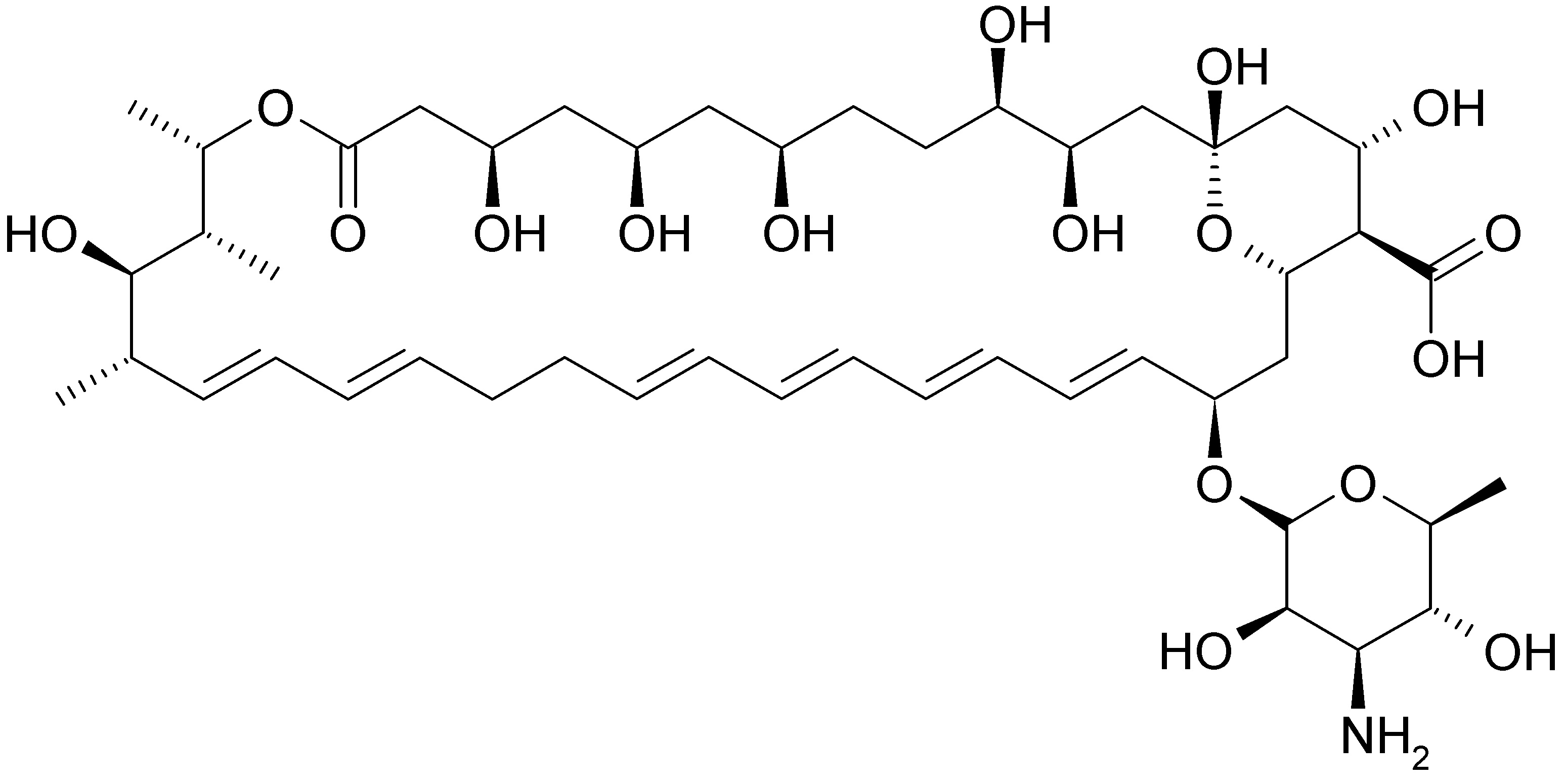
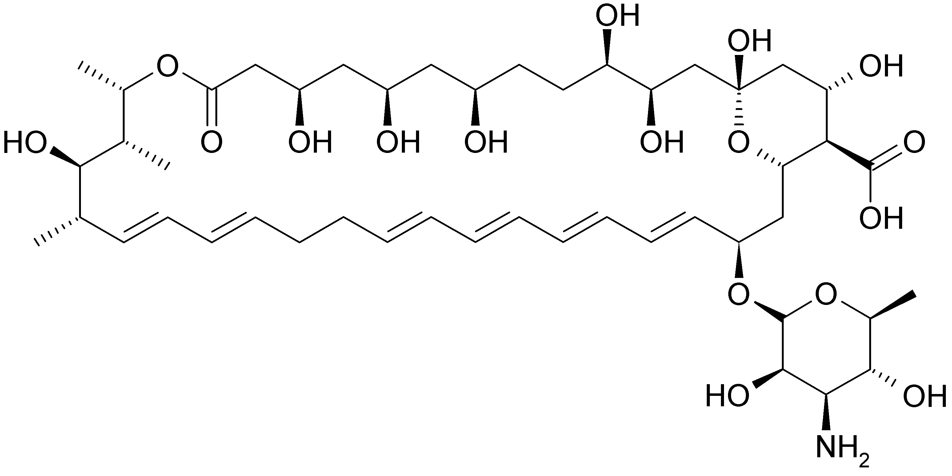
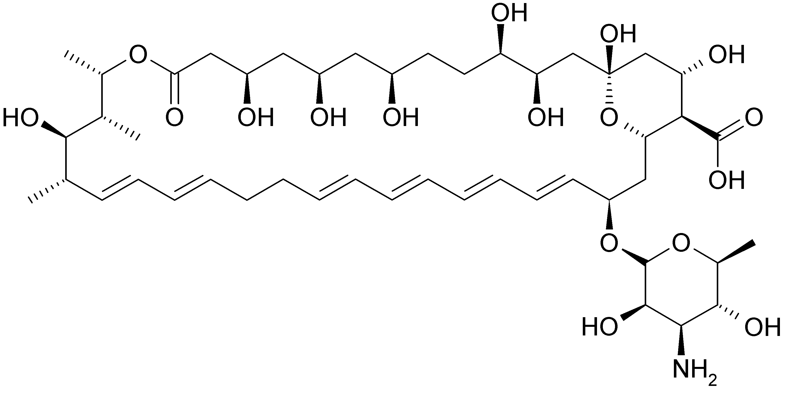
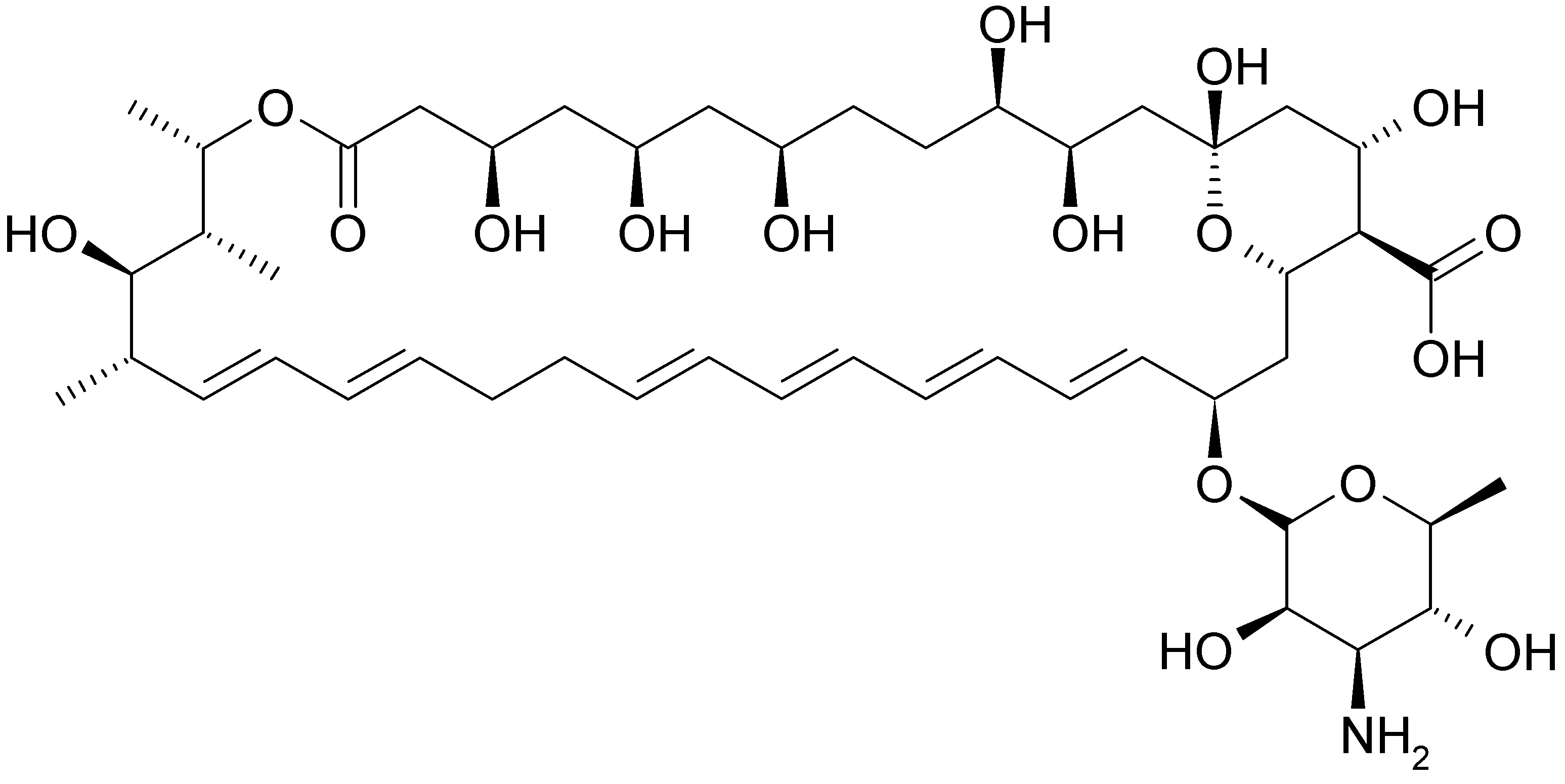
Antifungal   Nystatin  
Mouthwash
Stability of pharmaceutical preparations Stability of mixtures Factors which affect stability Compatibility References pdf
   Chemical structure  

Mouthwash

Factors which affect stability   Mouthwash   Factors which affect stability : Nystatin        
No data

  Mentions Légales