Poslední aktualizace :
18/03/2026
Protiplísňový přípravek   Nystatin  
kloktadlo
Stabilita farmaceutických přípravků Stabilita směsí Faktory ovlivňující stabilitu Kompatibilita Odkazy pdf
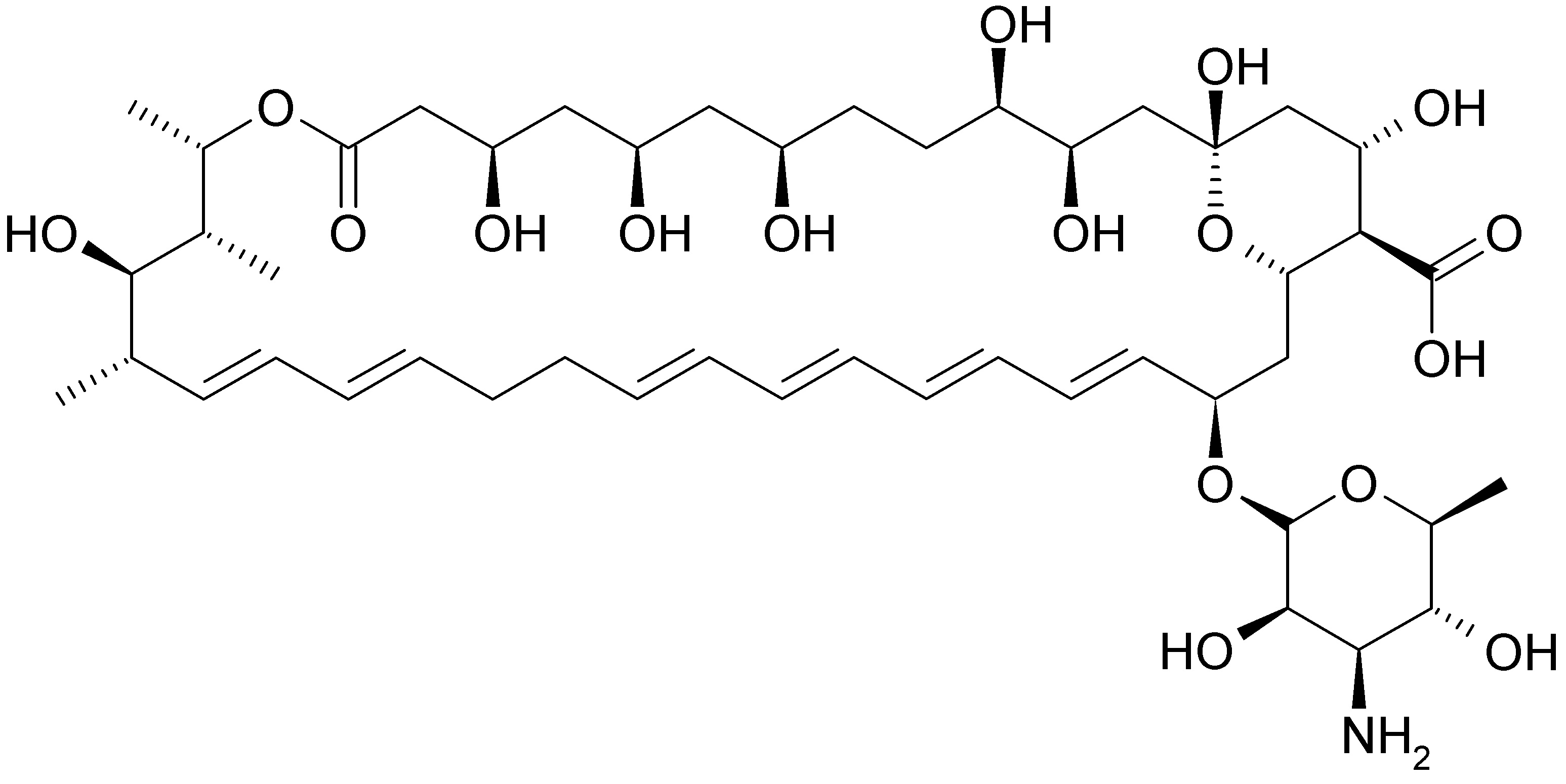
   Chemický vzorec  

kloktadlo

Faktory ovlivňující stabilitu   kloktadlo   Faktory ovlivňující stabilitu : Nystatin        
žádná data

  Mentions Légales