آخر تحديث :
18/03/2026
مضاد للفطريات   Nystatin  
غسول الفم
استقرار المستحضرات الصيدلانية استقرار مخاليط العوامل التي تؤثر على الاستقرار التوافق مراجع pdf
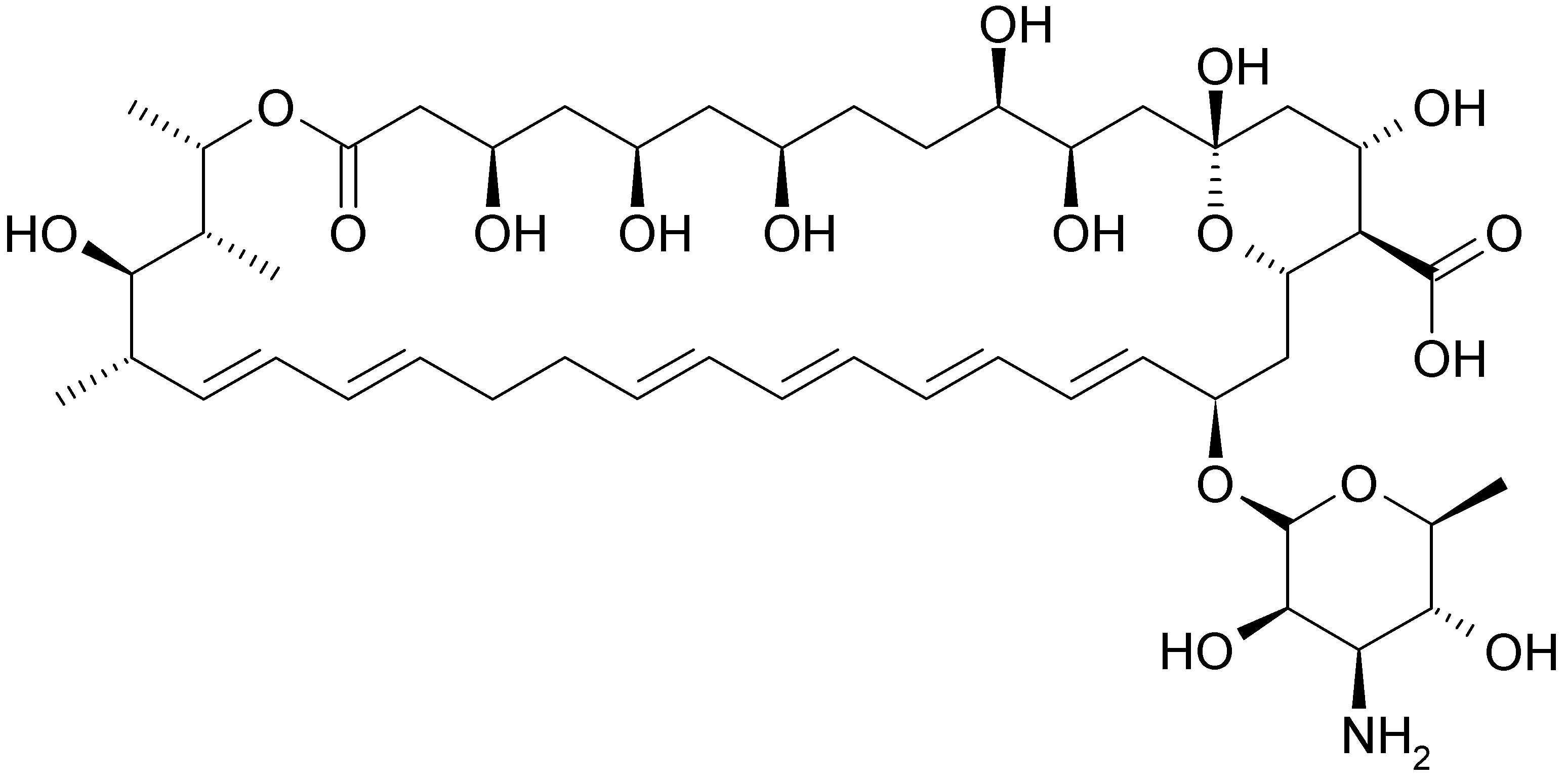
   التركيب الكيميائي  

غسول الفم

العوامل التي تؤثر على الاستقرار   غسول الفم   العوامل التي تؤثر على الاستقرار : Nystatin        
لا توجد بيانات

  Mentions Légales