Letztes “update” :
18/03/2026
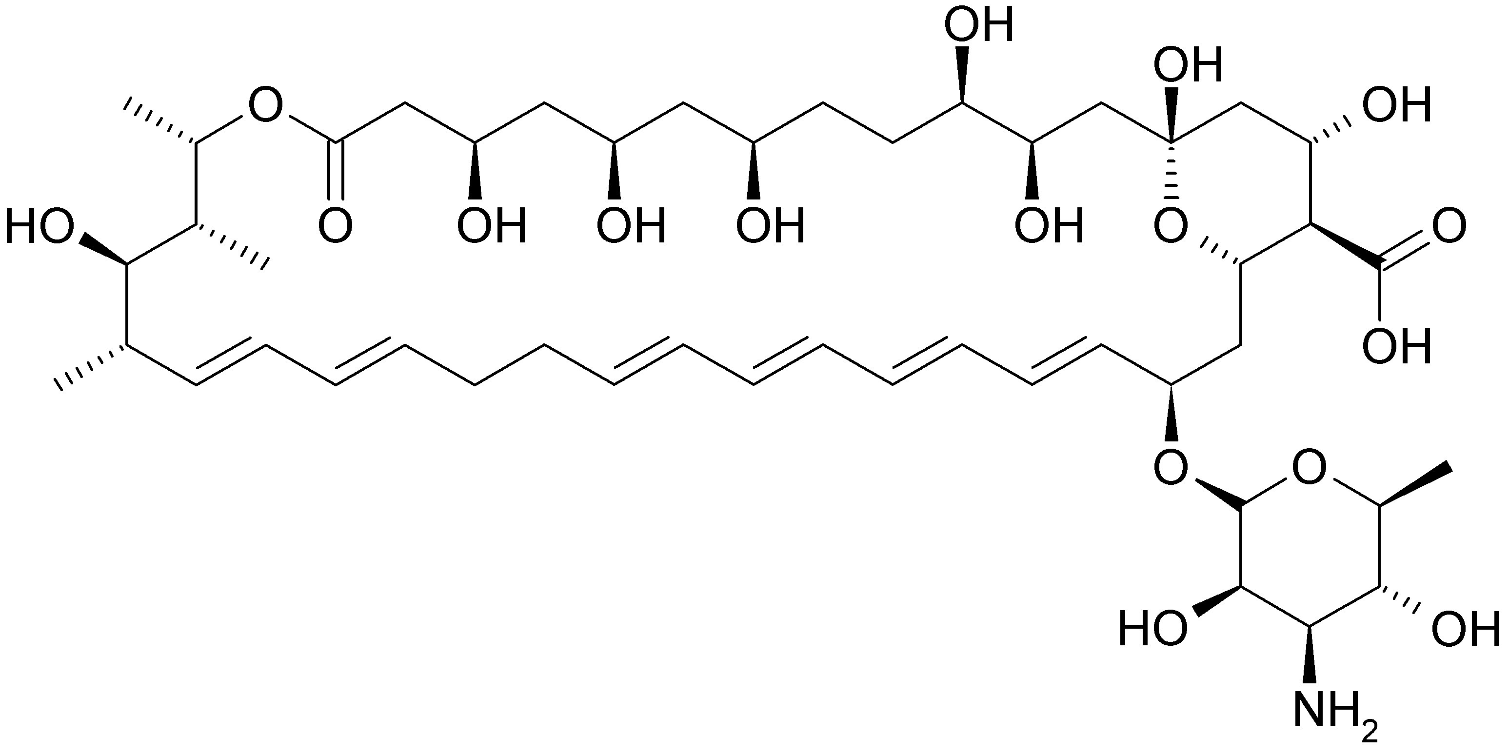
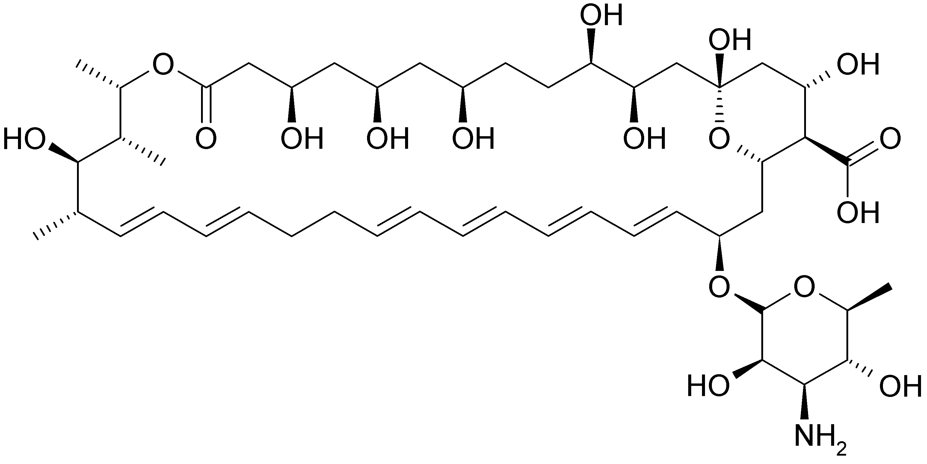
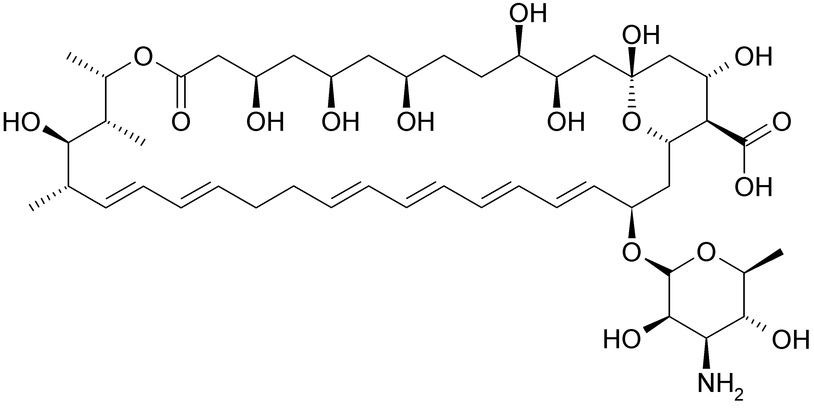
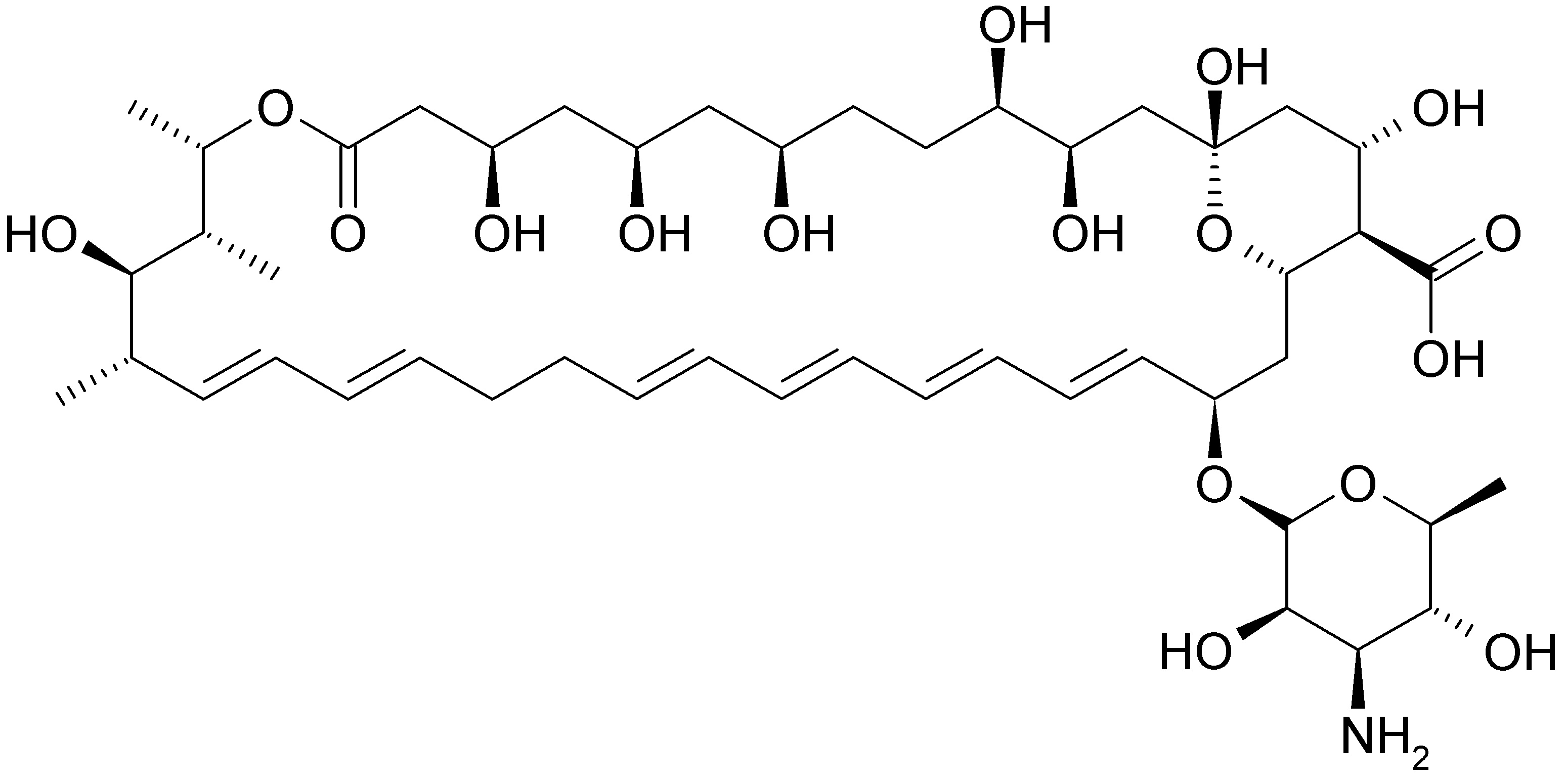
Antifungoid   Nystatin  
Mundspüllösung
Stabilität von pharmazeutischen Präparaten Gemengestabilität Stabilitätbeeinflussende Faktoren Kompatibilitäten Literaturverzeichnis pdf
   Chemische Struktur  

Mundspüllösung

Stabilitätbeeinflussende Faktoren   Mundspüllösung   Stabilitätbeeinflussende Faktoren : Nystatin        
Keine Daten

  Mentions Légales