Останнє оновлення :
18/03/2026
Протигрибковий   Nystatin  
Ополіскувач ротової порожнини
Стабільність фармацевтичних препаратів Стійкість сумішей Фактори, що впливають на стабільність Сумісність Список літератури pdf
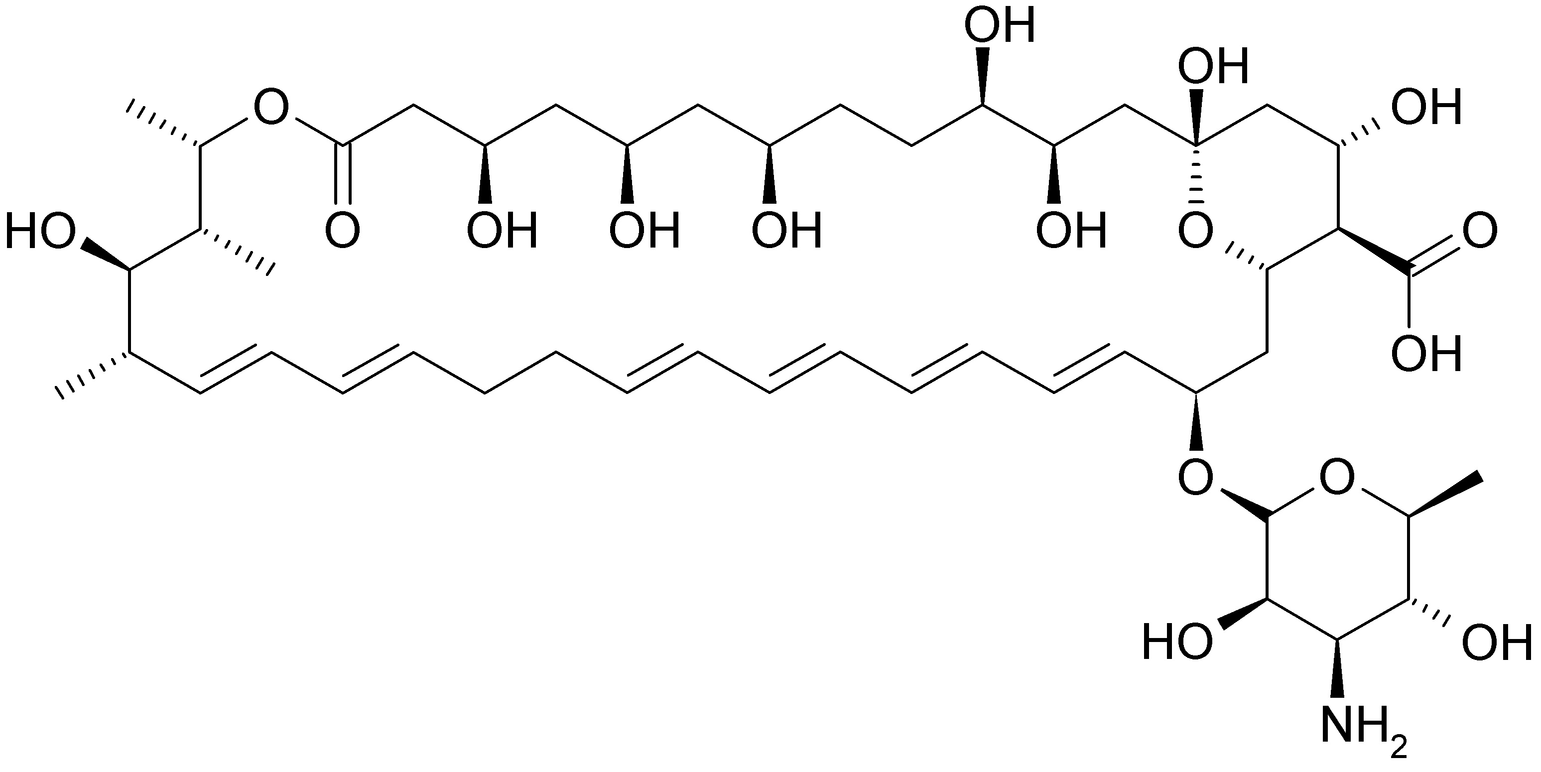
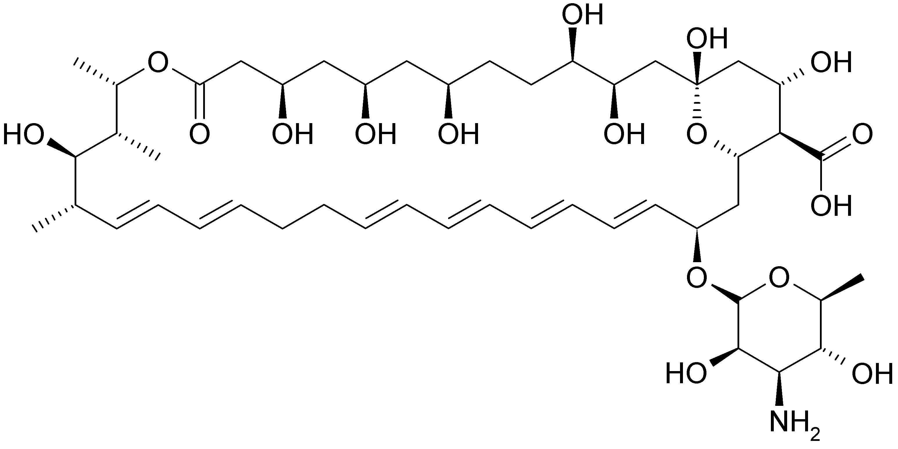
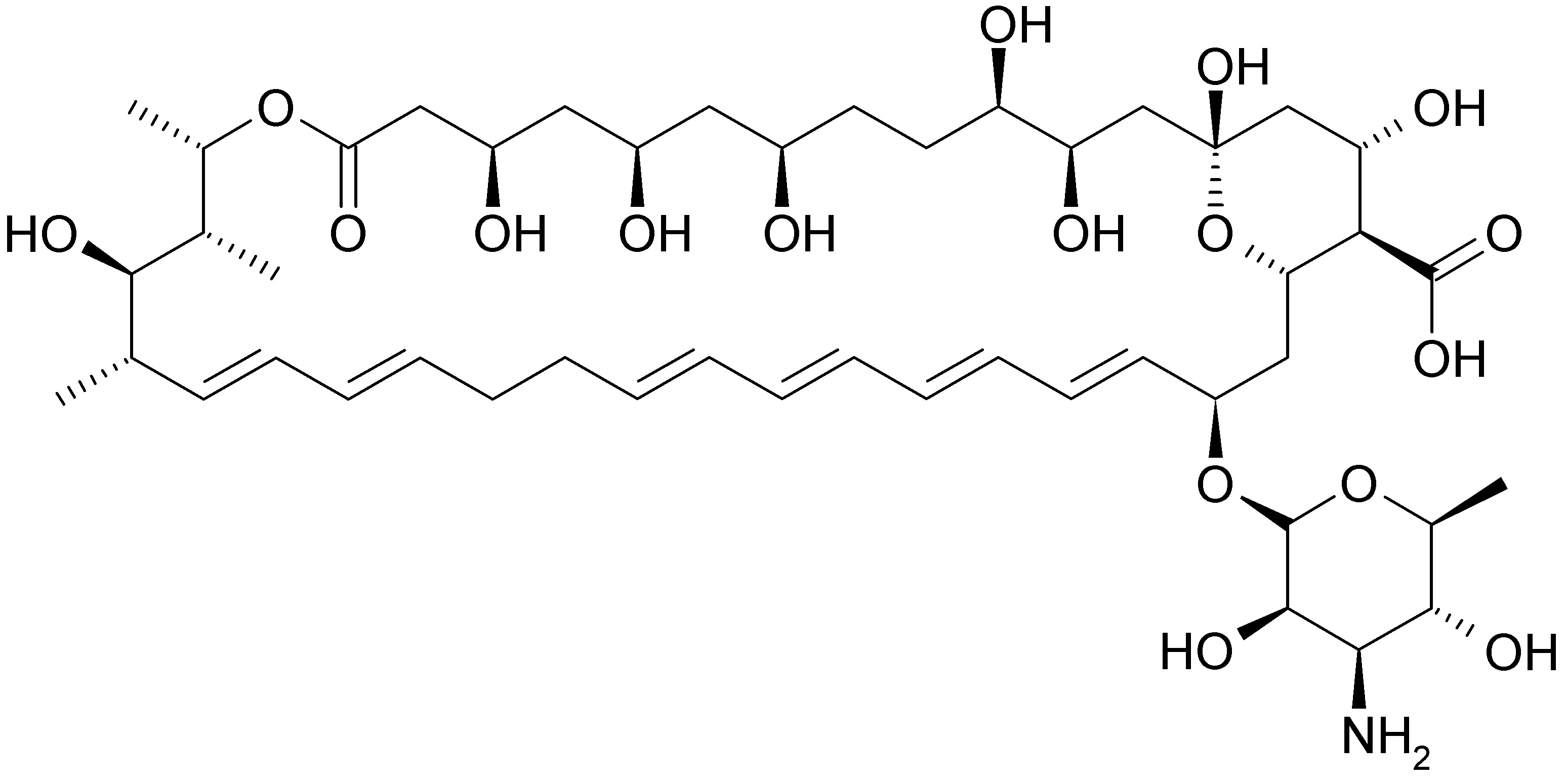
   Хімічна структура  

Ополіскувач ротової порожнини
Сумісність   Ополіскувач ротової порожнини   Сумісність : Nystatin              
7 / 5 000 Résultats de traduction Немає даних

  Mentions Légales