Ultimo aggiornamento :
18/03/2026
Antimicotico   Nystatin  
Collutorio
Stabilità dei preparati farmaceutici Stabilità in miscela Fattori che influenzano la stabilità Compatibilità Bibliografia pdf
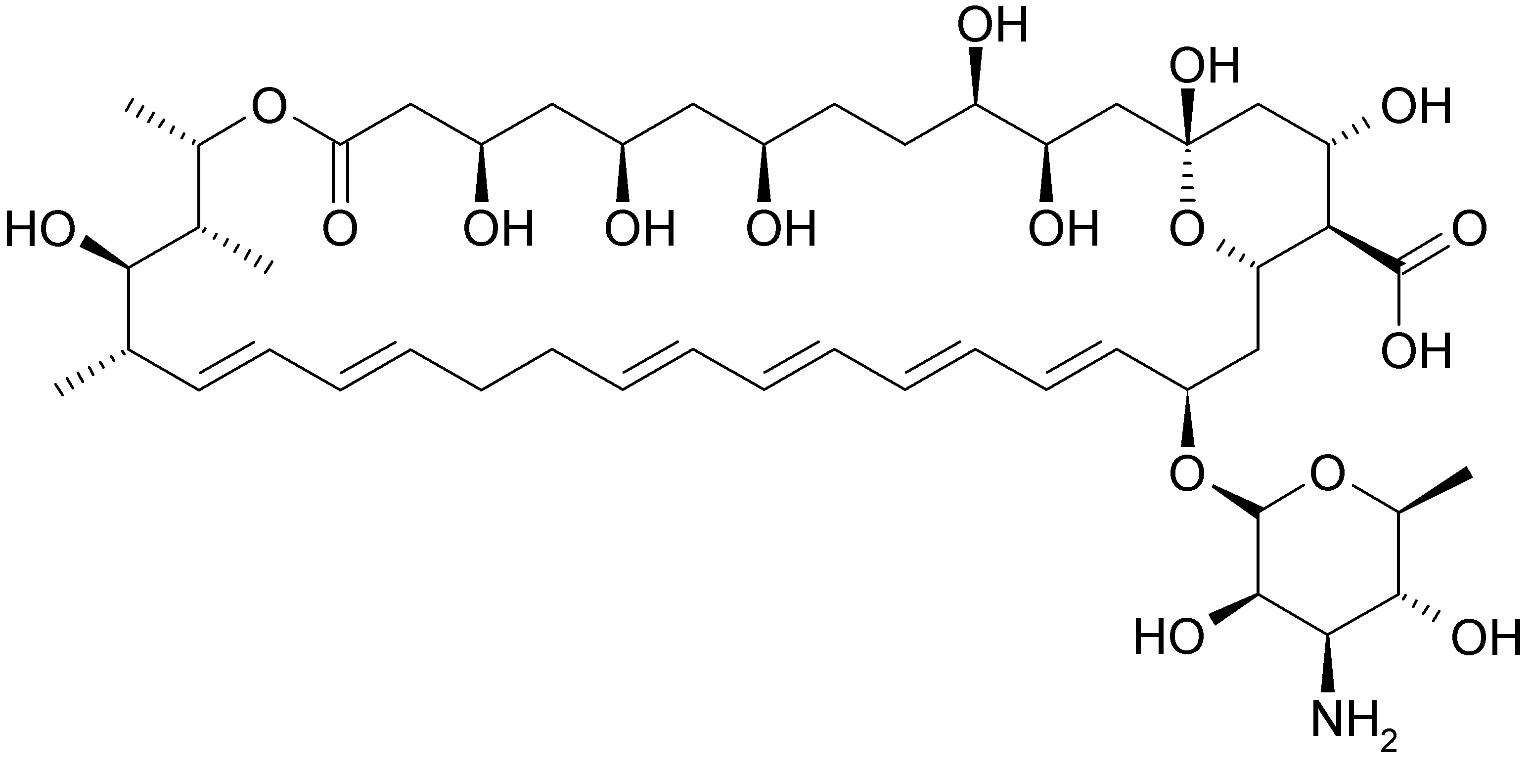
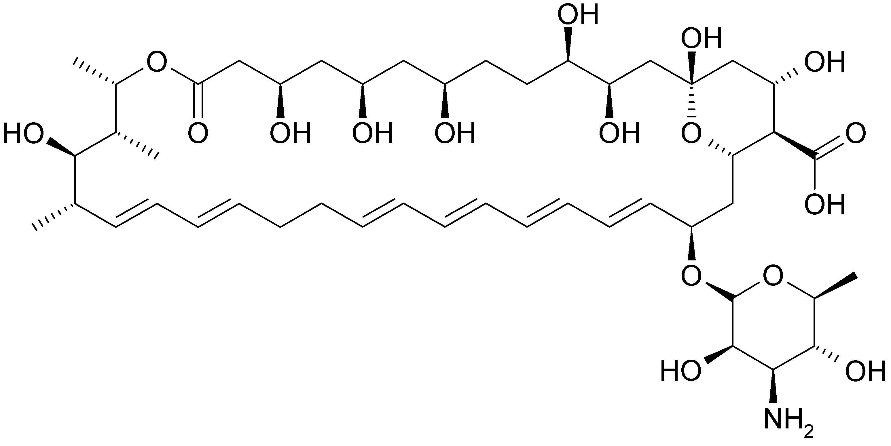
   Struttura chimica  

Collutorio
Compatibilità   Collutorio   Compatibilità : Nystatin              
Assenza di dati

  Mentions Légales