Poslední aktualizace :
18/03/2026
Protiplísňový přípravek   Nystatin  
kloktadlo
Stabilita farmaceutických přípravků Stabilita směsí Faktory ovlivňující stabilitu Kompatibilita Odkazy pdf
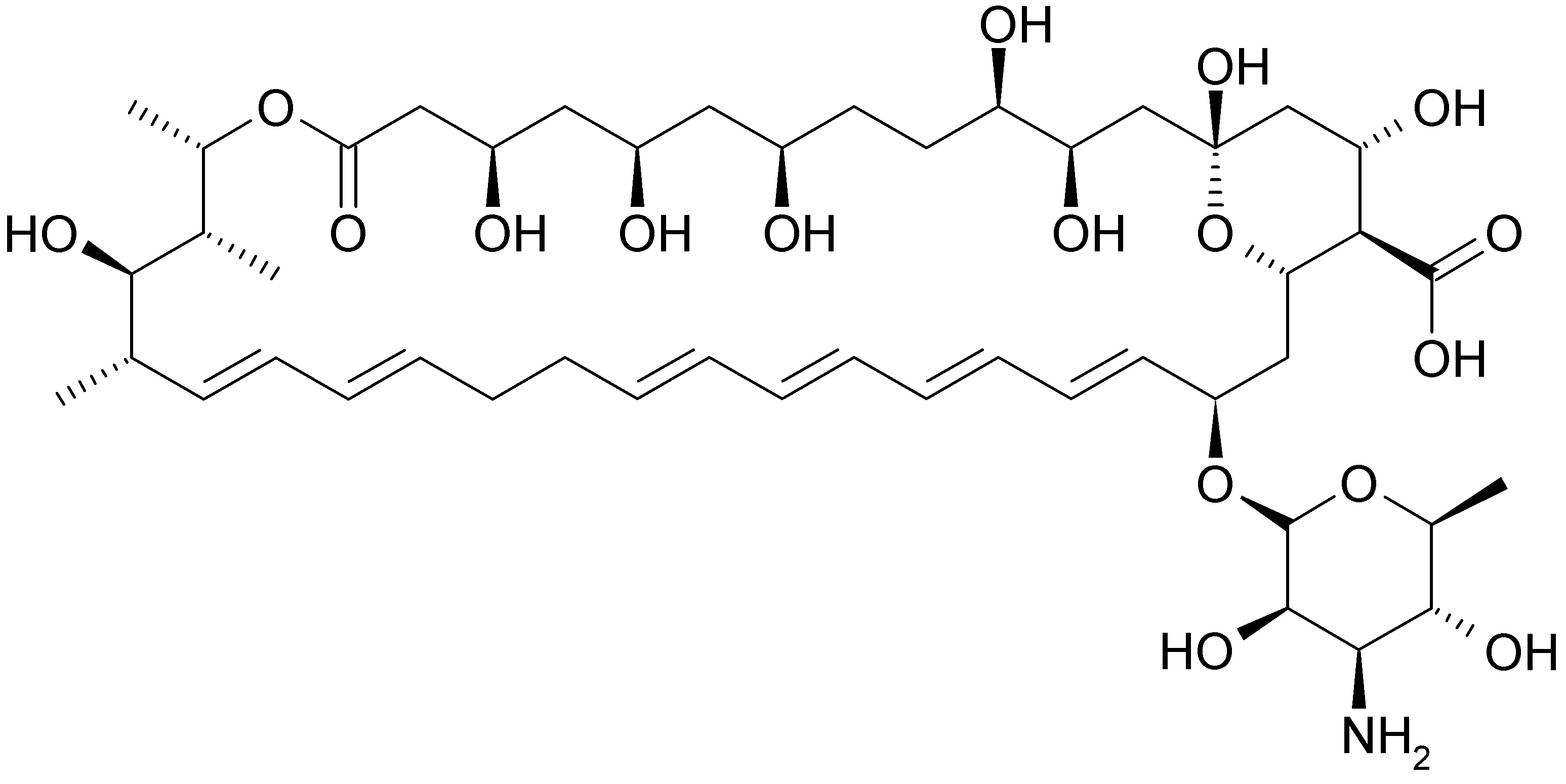
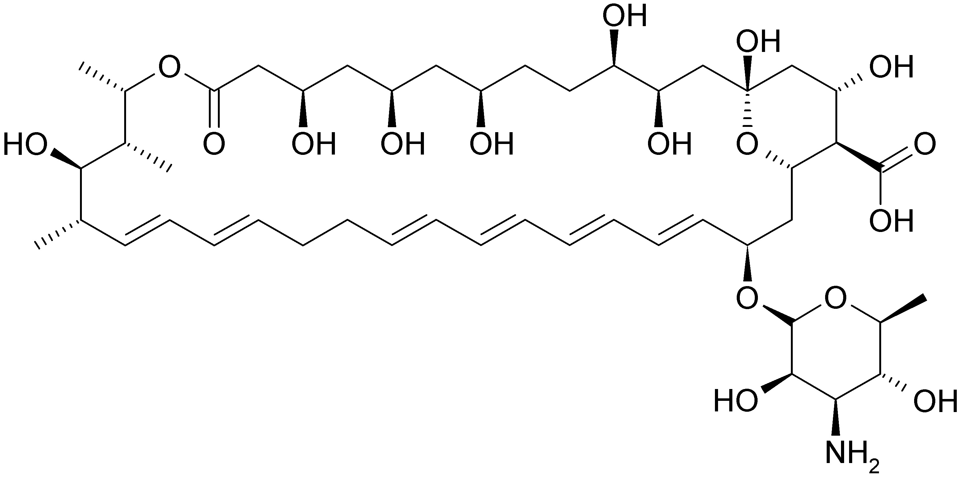
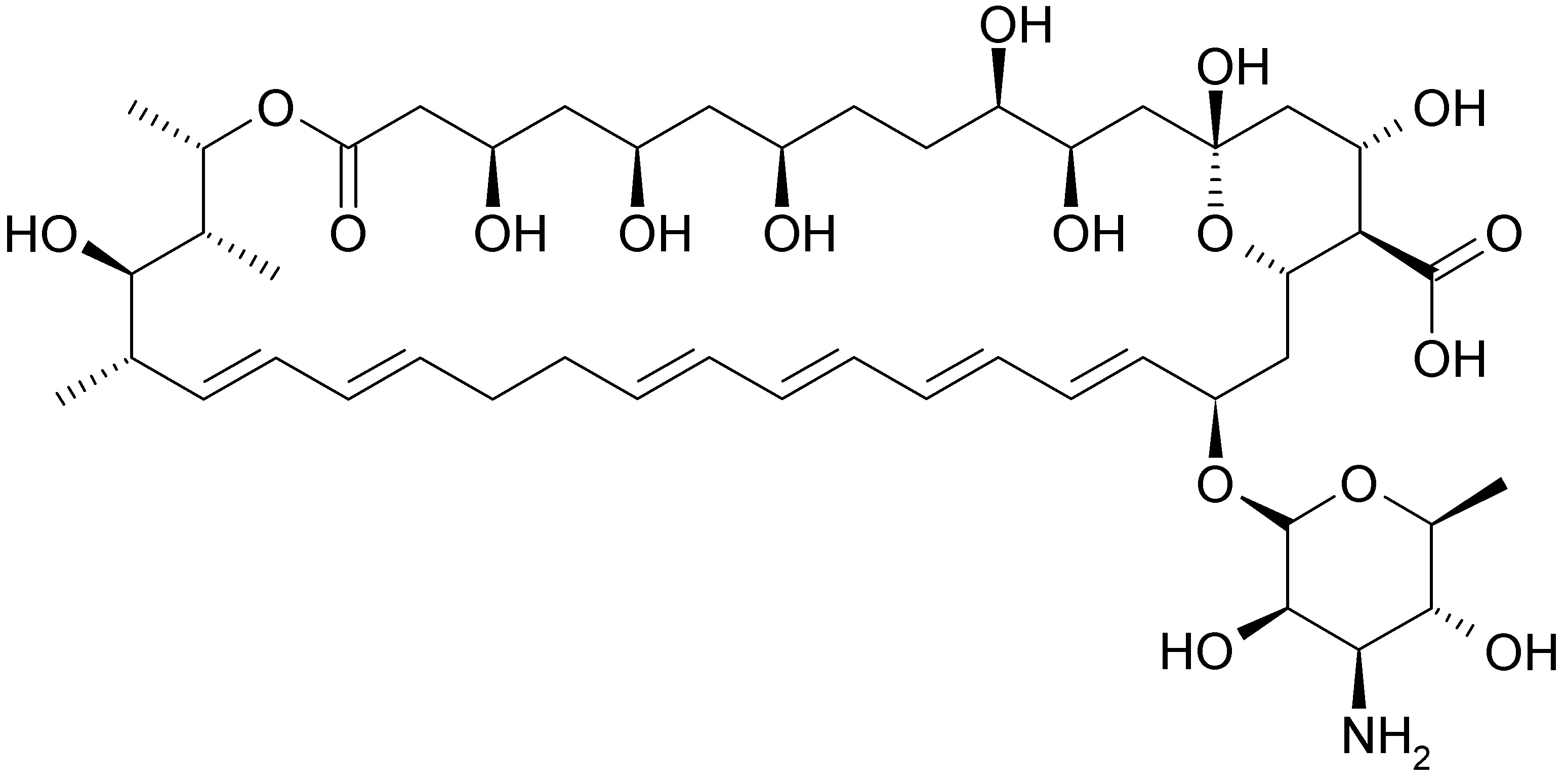
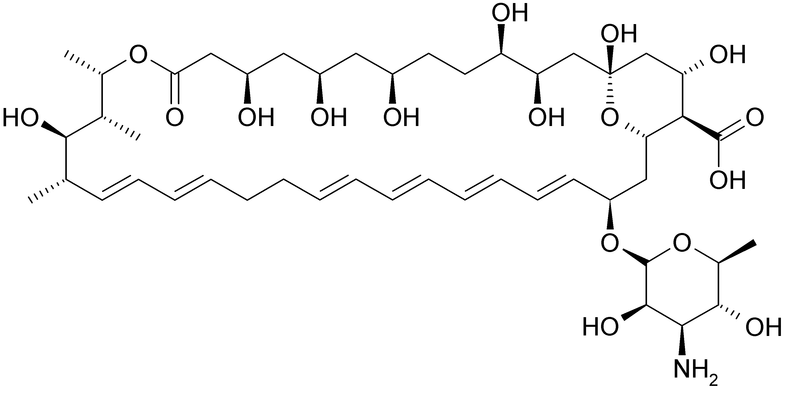
   Chemický vzorec  

kloktadlo
Kompatibilita   kloktadlo   Kompatibilita : Nystatin              
žádná data

  Mentions Légales