Letztes “update” :
18/03/2026
Antifungoid   Nystatin  
Mundspüllösung
Stabilität von pharmazeutischen Präparaten Gemengestabilität Stabilitätbeeinflussende Faktoren Kompatibilitäten Literaturverzeichnis pdf
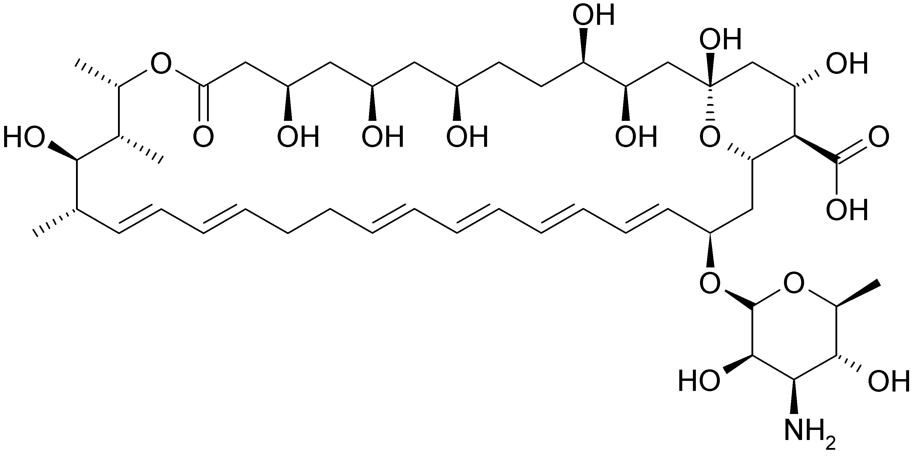
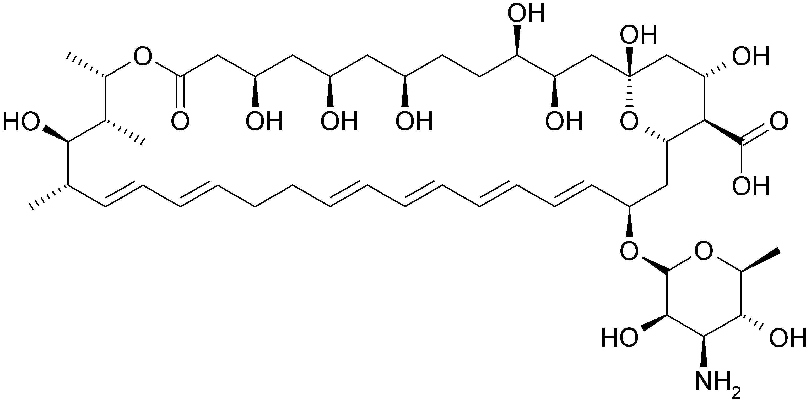
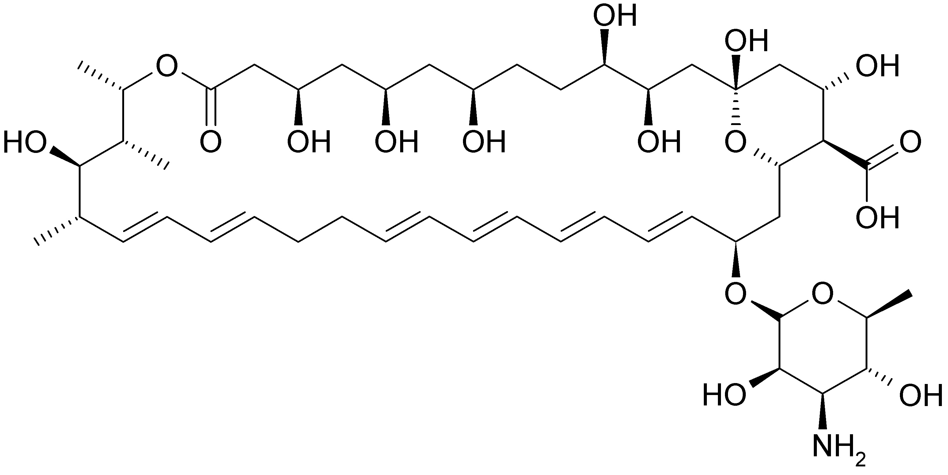
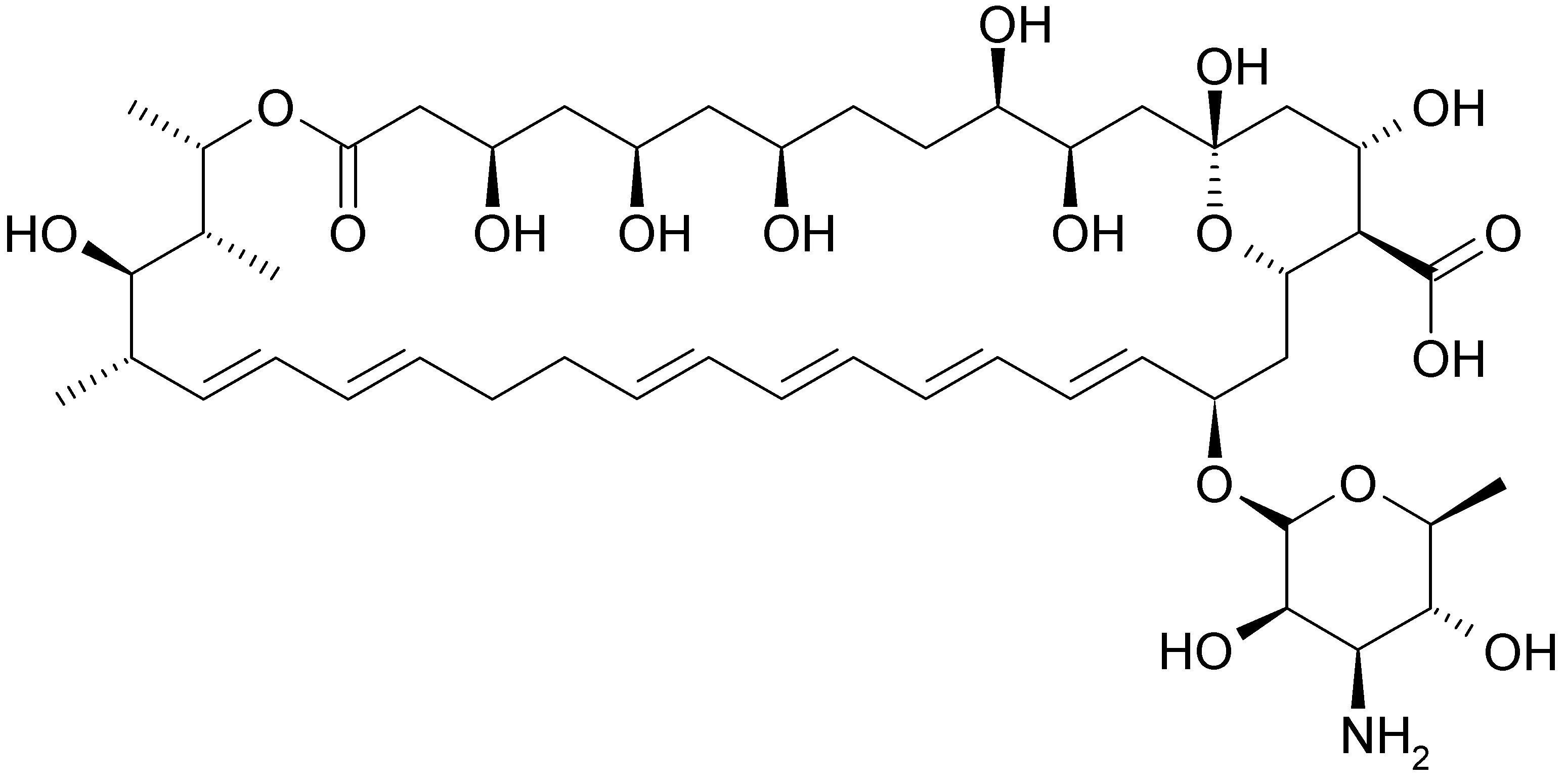
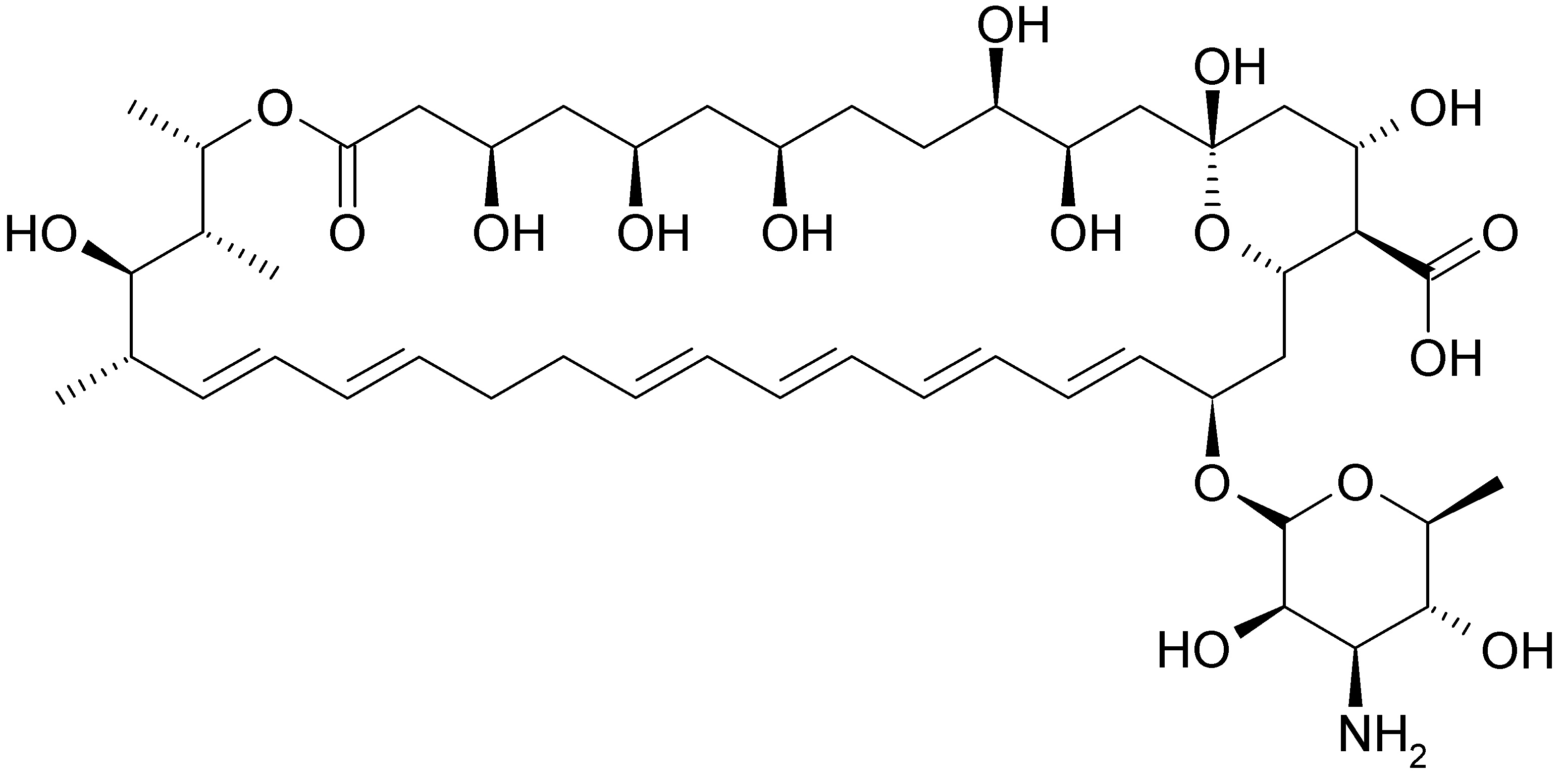
   Chemische Struktur  

Mundspüllösung
Kompatibilitäten   Mundspüllösung   Kompatibilitäten : Nystatin              
Keine Daten

  Mentions Légales