viimane versioon :
18/03/2026
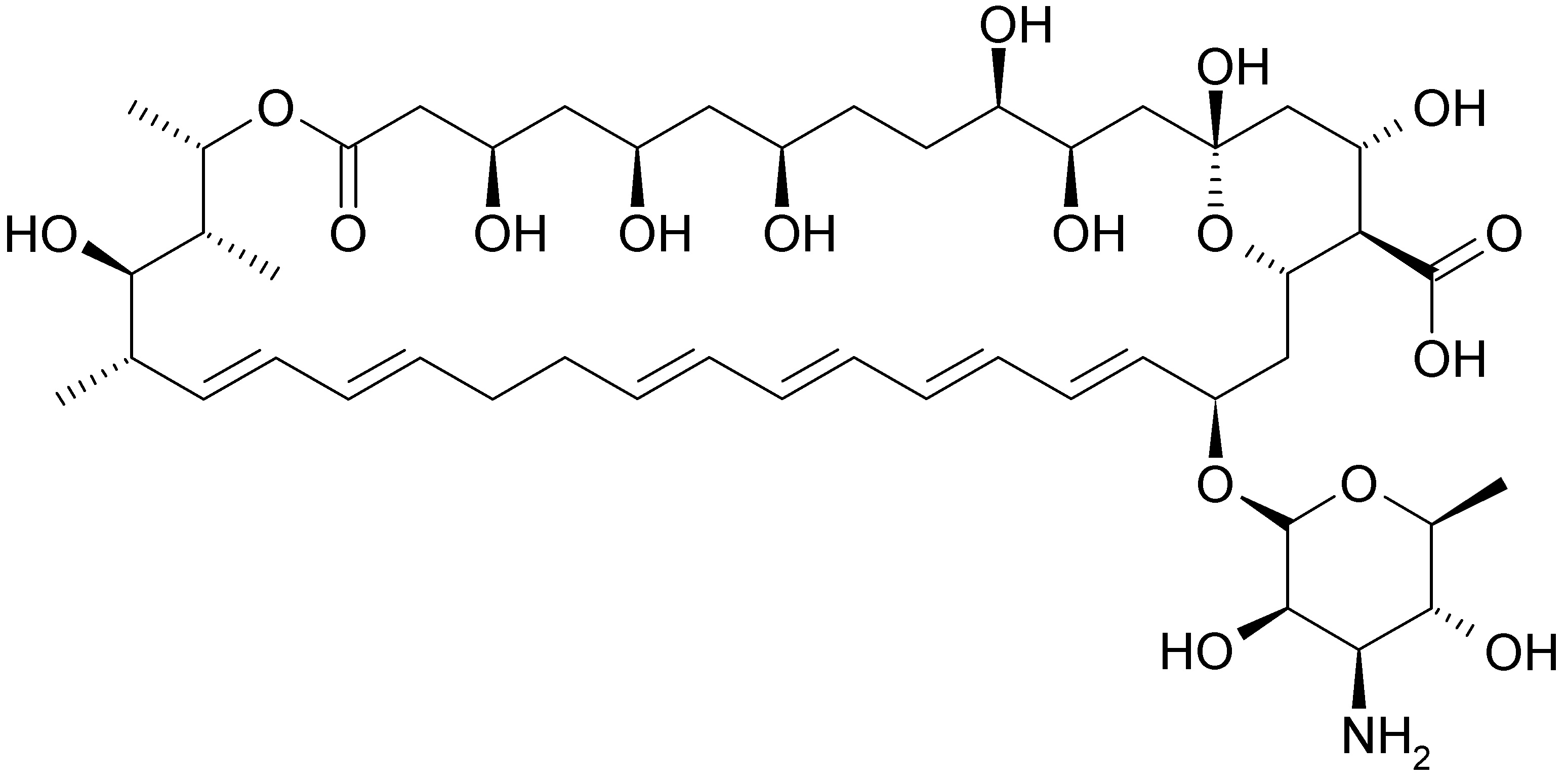
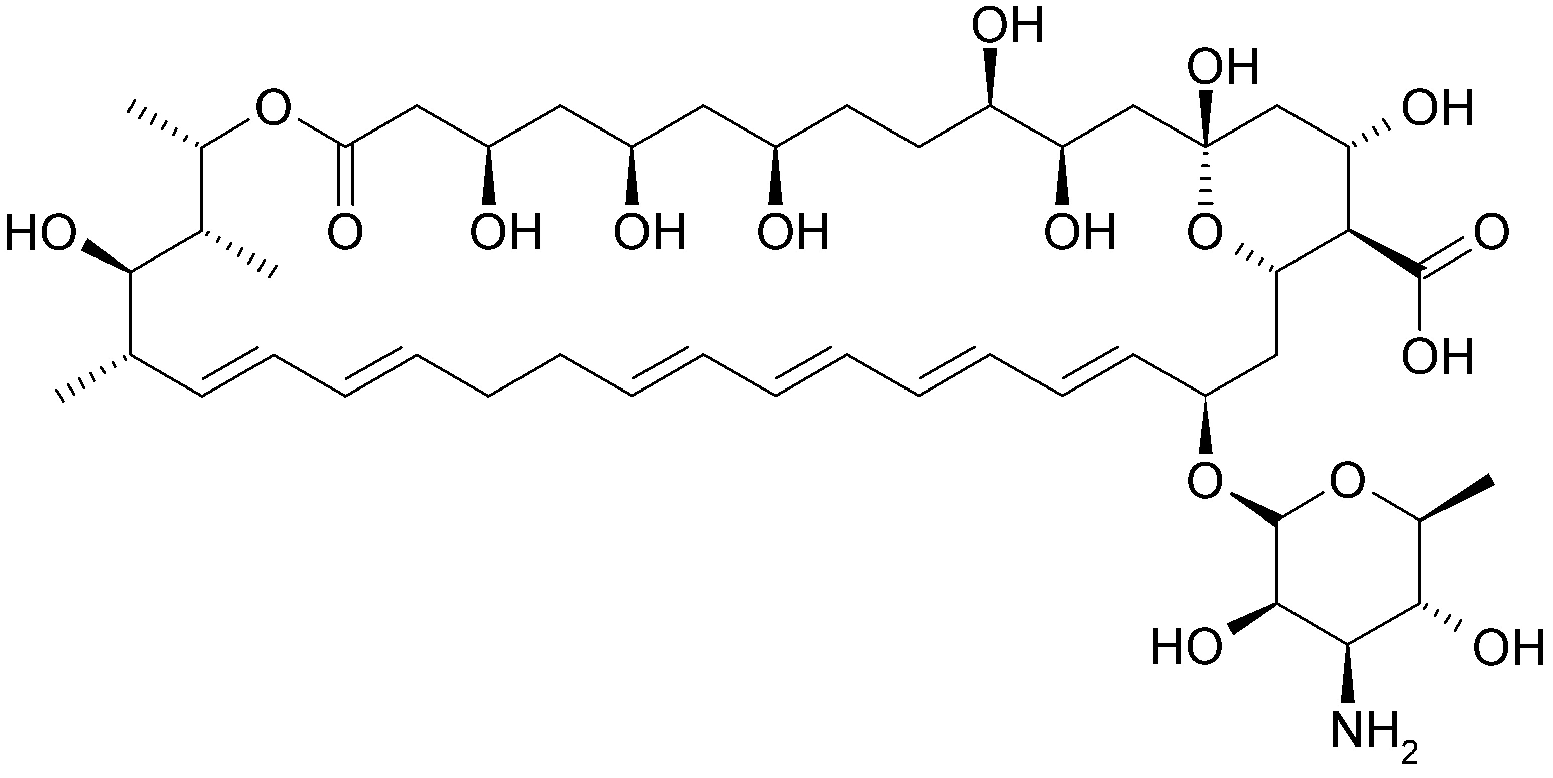
Seenevastane ravim   Nystatin  
Suuloputus lahus
Stabiilsust ravimpreparaadid Stabiilsust mõjutavad tegurid stabiilsust mõjutavad faktorid Sobimatus Viited pdf
   keemiline struktuur  

Suuloputus lahus
Sobimatus   Suuloputus lahus   Sobimatus : Nystatin              
andmed puuduvad

  Mentions Légales