Τελευταία ενημέρωση :
18/03/2026
Αντιμυκητικό   Nystatin  
Στοματικό διάλυμα
Σταθερότητα και συμβατότητα των φαρμάκων Σταθερότητα σε μίγματα Παράγοντας που επηρεάζει τη σταθερότητα Συμβατότητες Βιβλιογραφία pdf
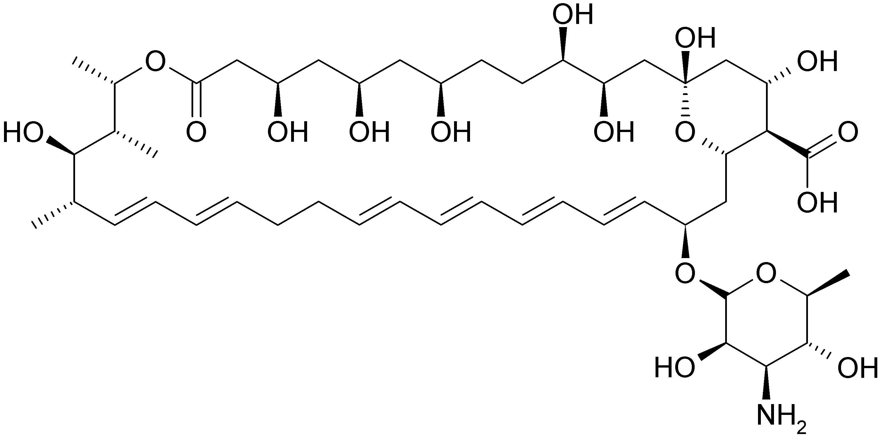
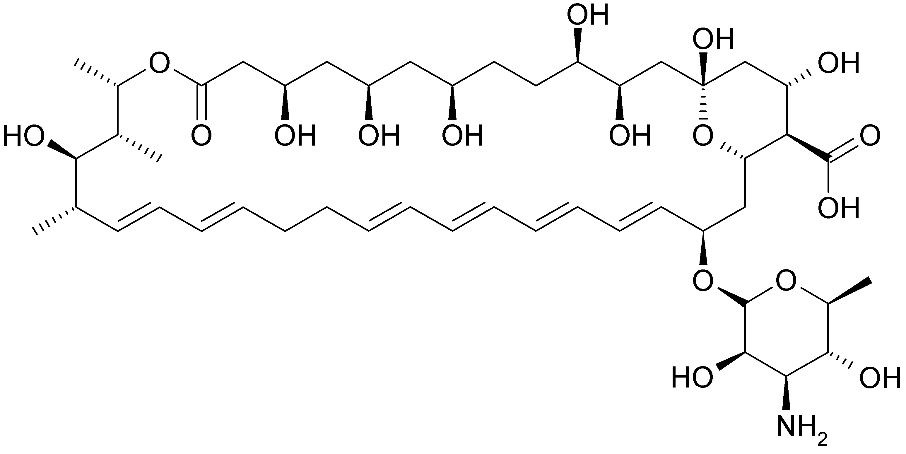
   χημική δομή  

Στοματικό διάλυμα
Συμβατότητες    Στοματικό διάλυμα   Συμβατότητες : Nystatin              
Δεν υπάρχουν πληροφορίες

  Mentions Légales