zadnja posodobitev :
18/03/2026
Antimikotik   Nystatin  
Ustna voda
Stabilnost farmacevtskih preparatov Stabilnost mešanice Faktorji, ki vplivajo na stabilnost Kompatibilnost Viri pdf
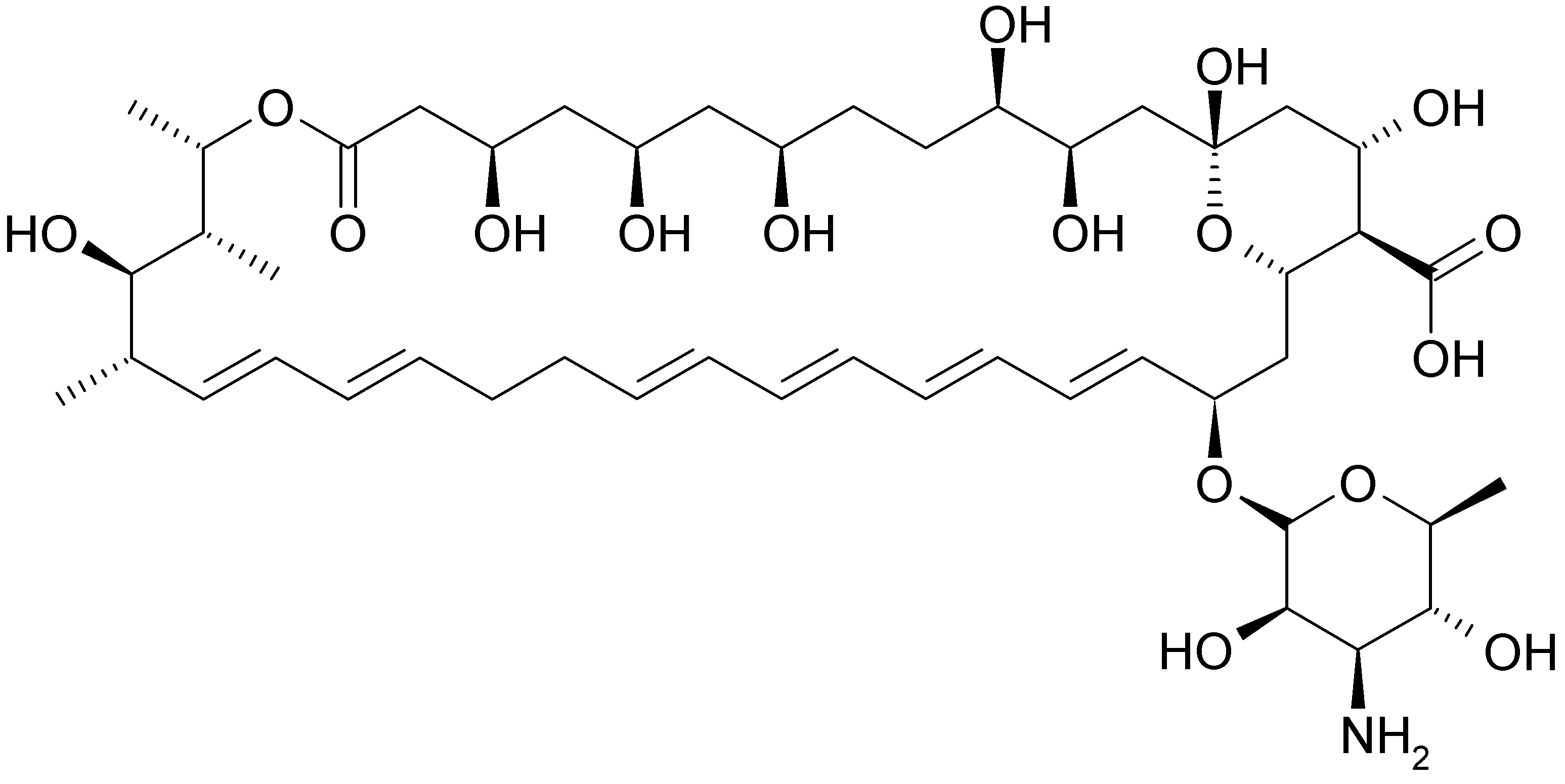
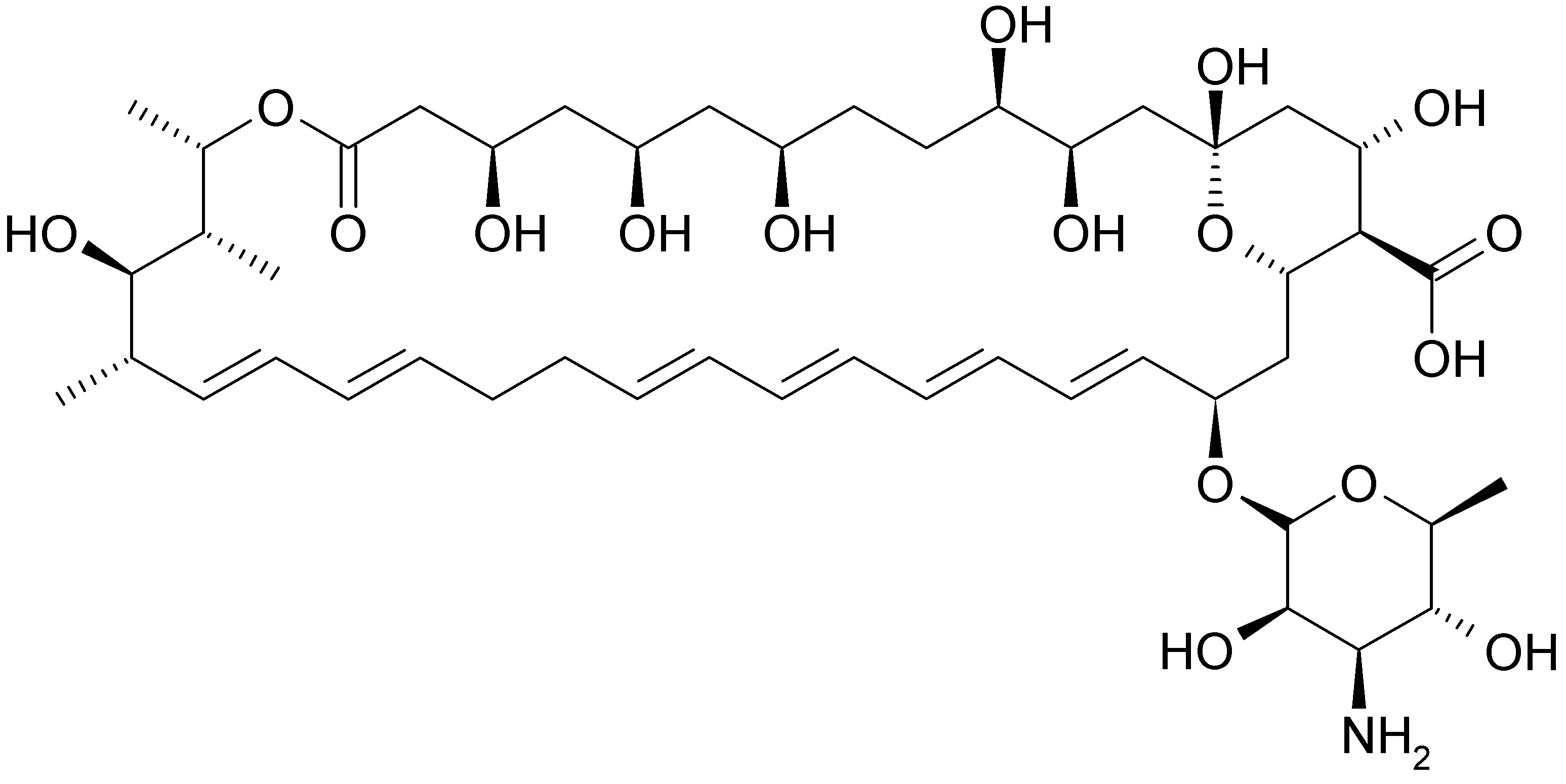
   Kemična formula  

Ustna voda
Kompatibilnost   Ustna voda   Kompatibilnost : Nystatin              
ni podatka

  Mentions Légales