Zadnji put ažurirano :
18/03/2026
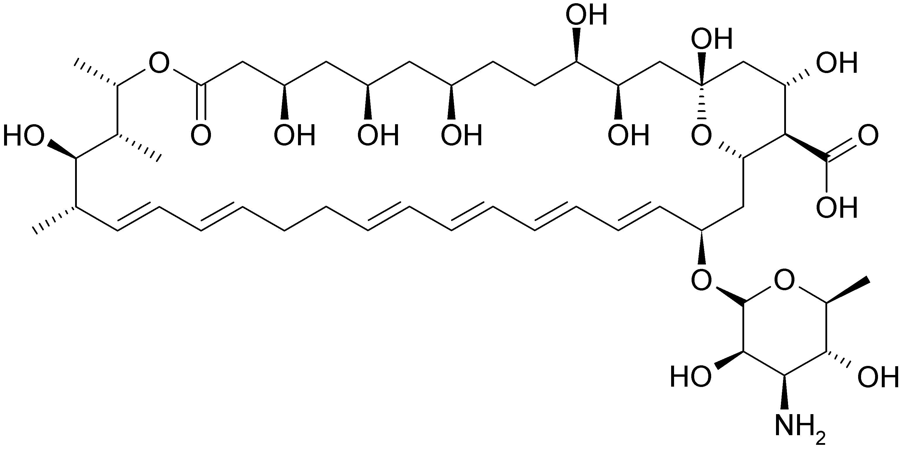
antifungicid   Nystatin  
otopina za ispiranje usne šupljine
Stabilnost farmaceutskih pripravaka Stabilnost mješavine Stabilizacijski faktor Kompatibilnosti Bibliografija pdf
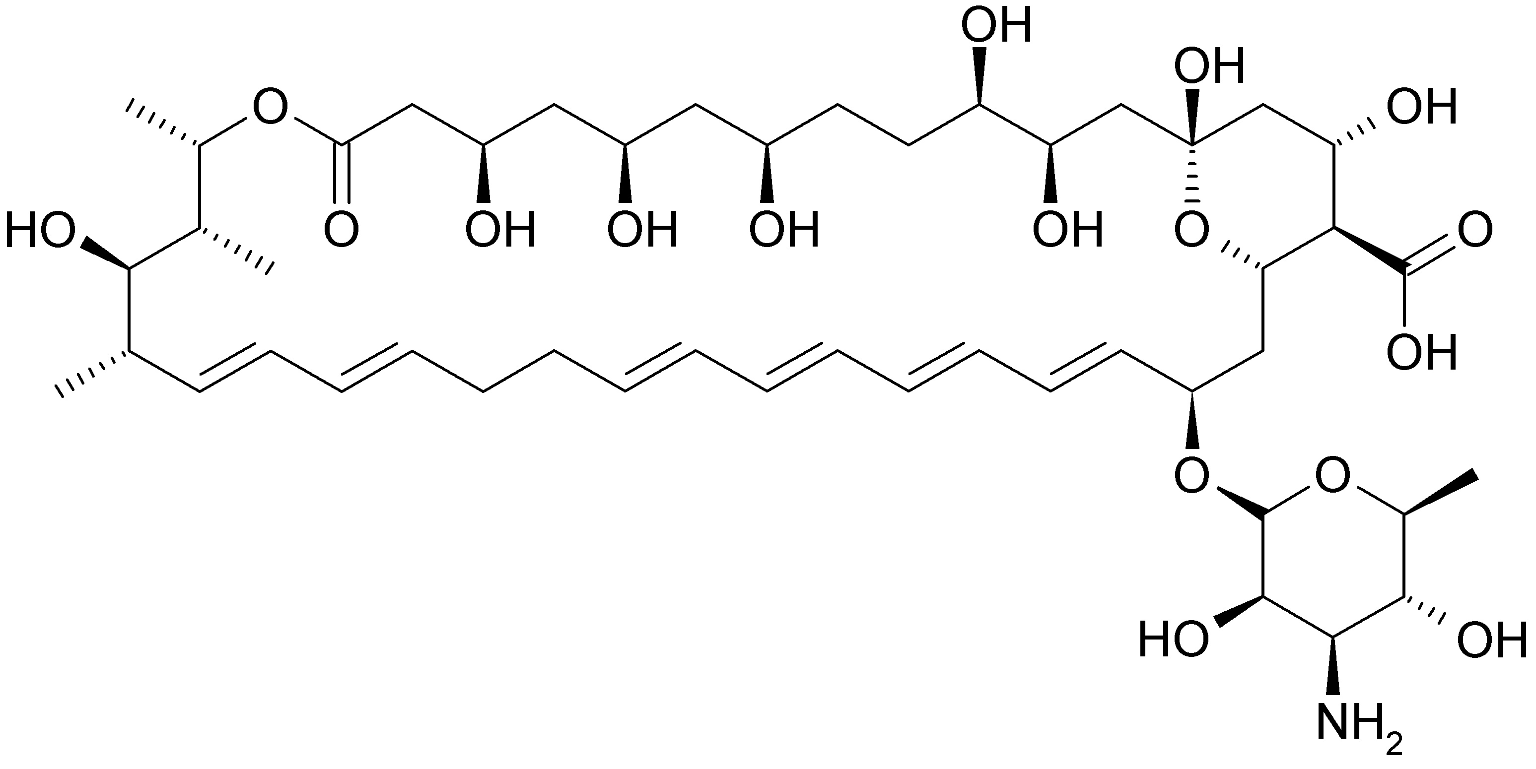
   Kemijska struktura  

otopina za ispiranje usne šupljine
Kompatibilnosti   otopina za ispiranje usne šupljine   Kompatibilnosti : Nystatin              
bez podataka

  Mentions Légales