fermer
Posledná aktualizácia :
17/12/2025
Infostab
Zoznam zlúčenín
Sumárne zoznamy
Vyhľadávanie kompatibilít
Tabuľka kompatibilít pre inf. spojku Y
Odkazy na literatúru
výskumné tímy
valistab
Poster
Pripojenie
sponzori
Autori
Príručka používateľa
Newsletter
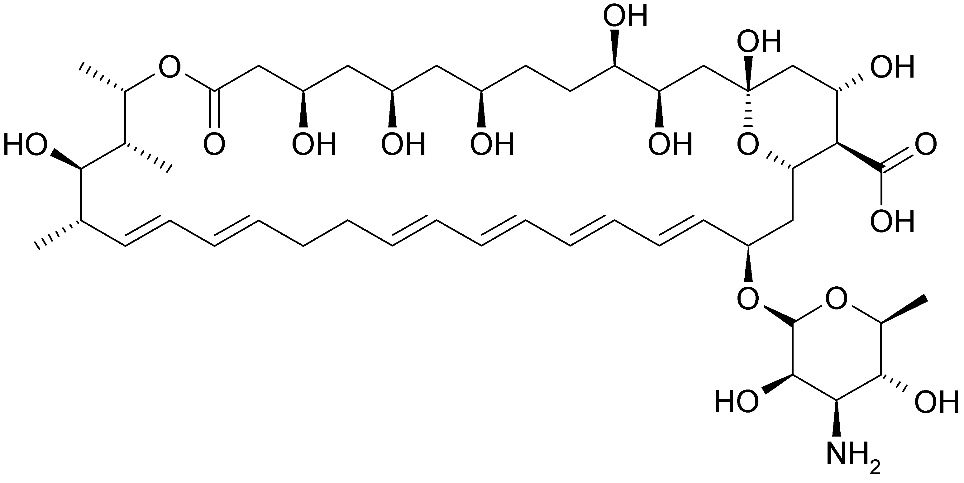
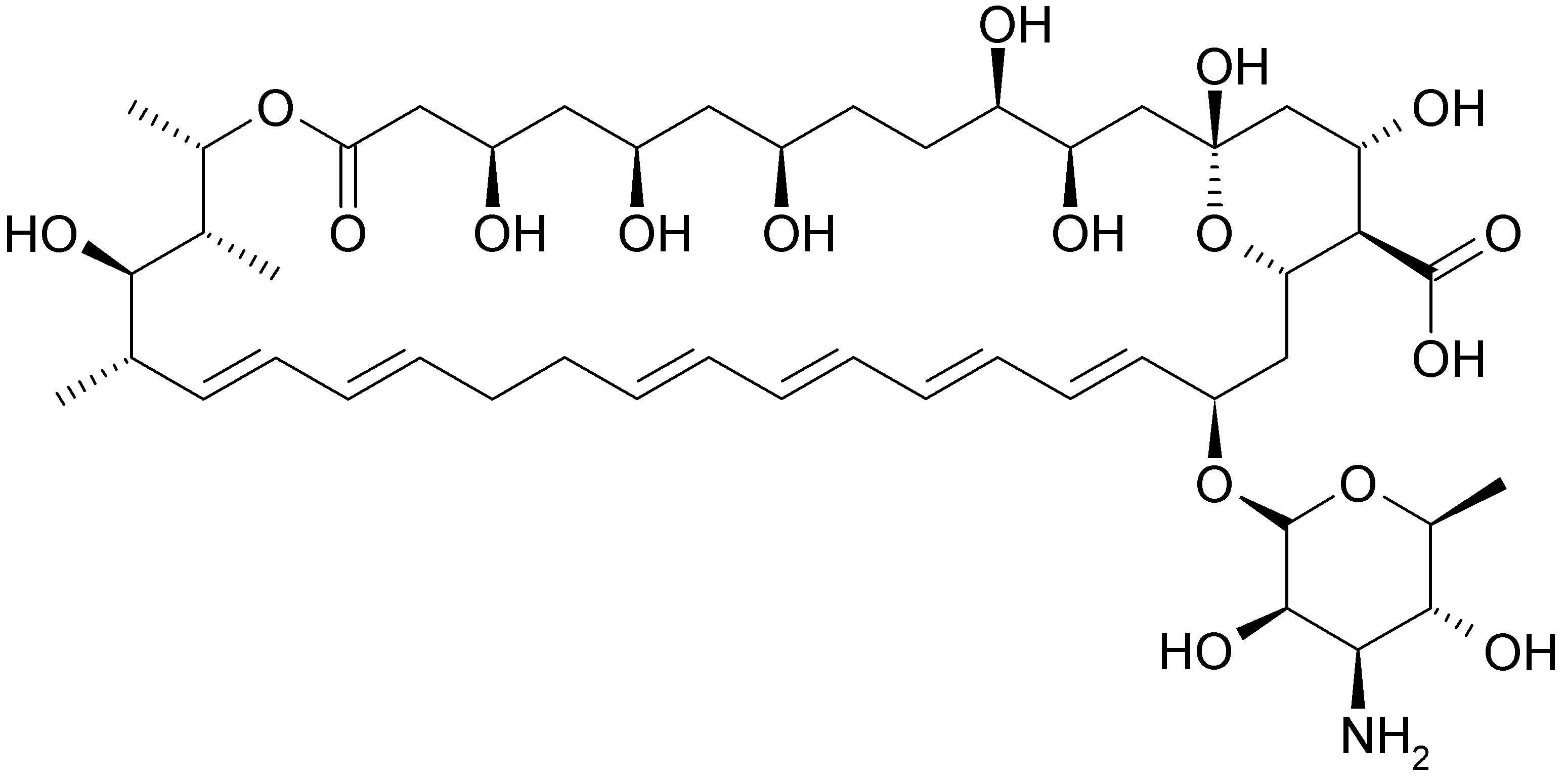
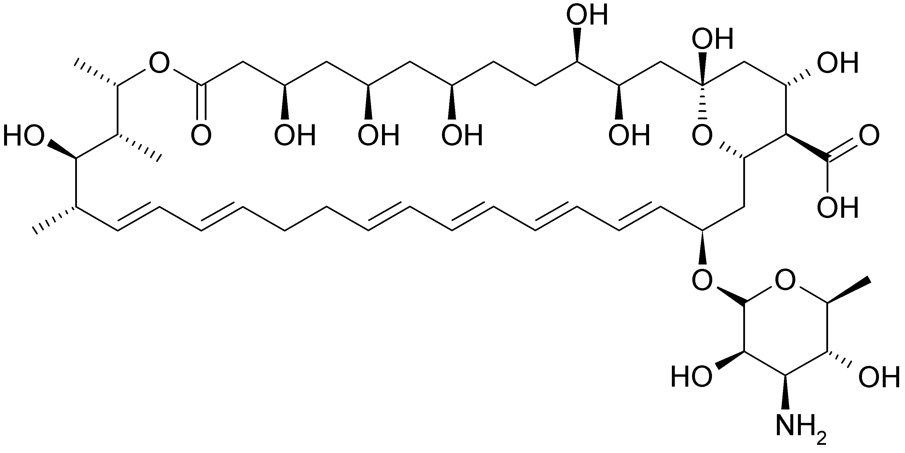
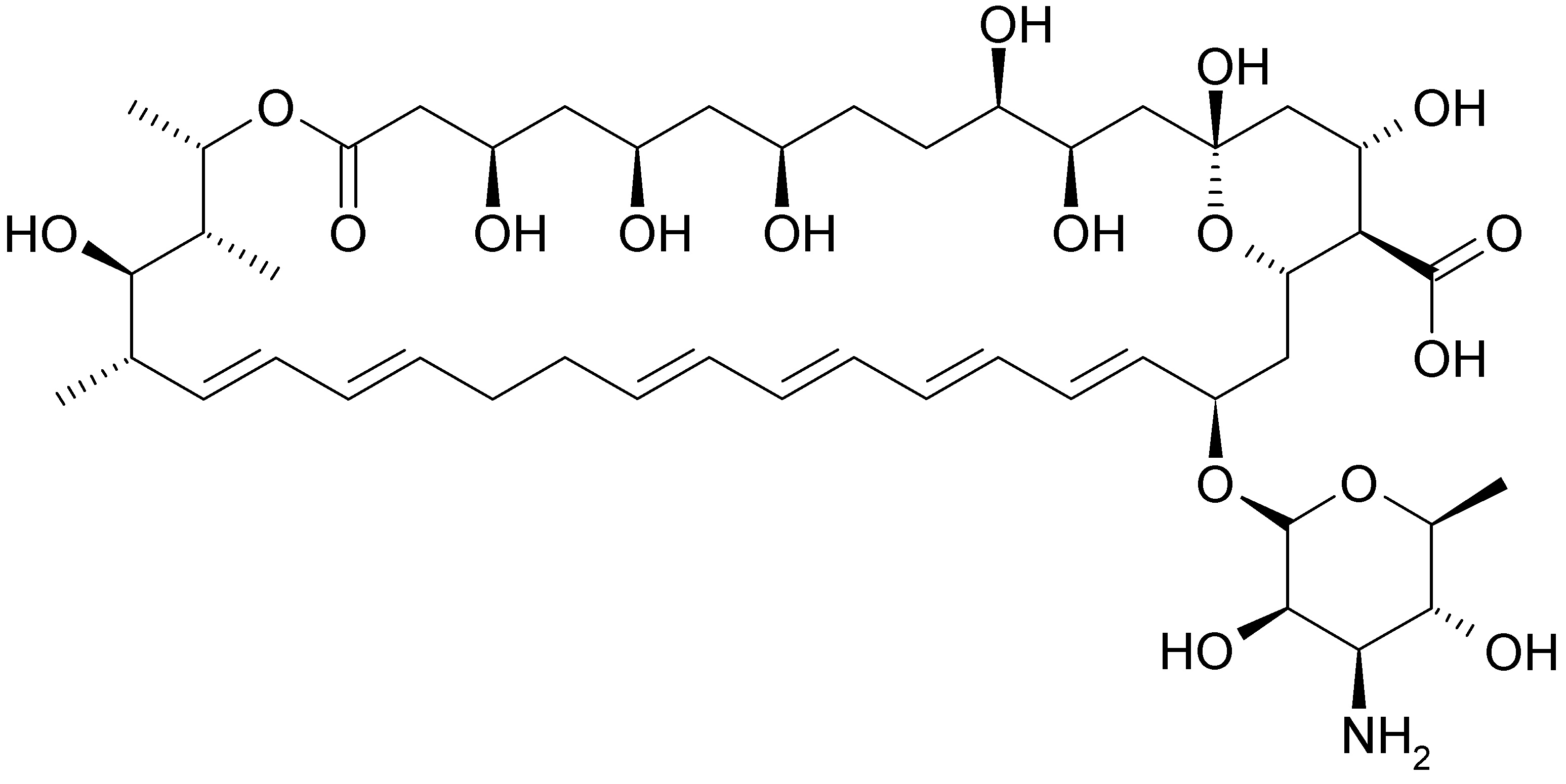
Nystatin
Chemický vzorec
Kompatibility : Nystatin
žiadne údaje
Mentions Légales