Utolsó frissítés :
18/03/2026
Gombaellenes szer   Nystatin  
Szájvíz
Stabilitása gyógyszerészeti készítmények A keverékek stabilitása Stabilitást befolyásoló tényezők Kompatibilitás Irodalom pdf
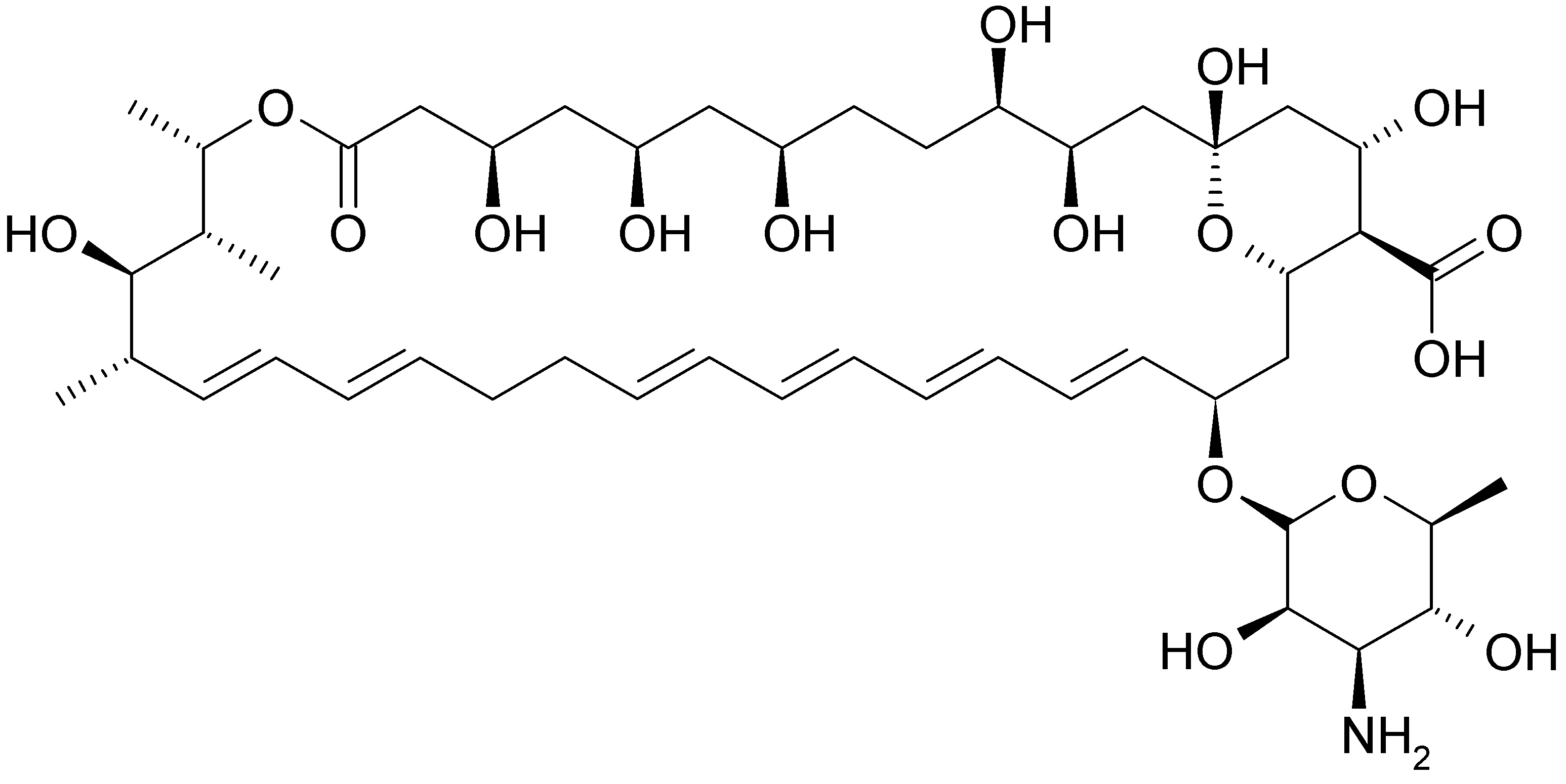
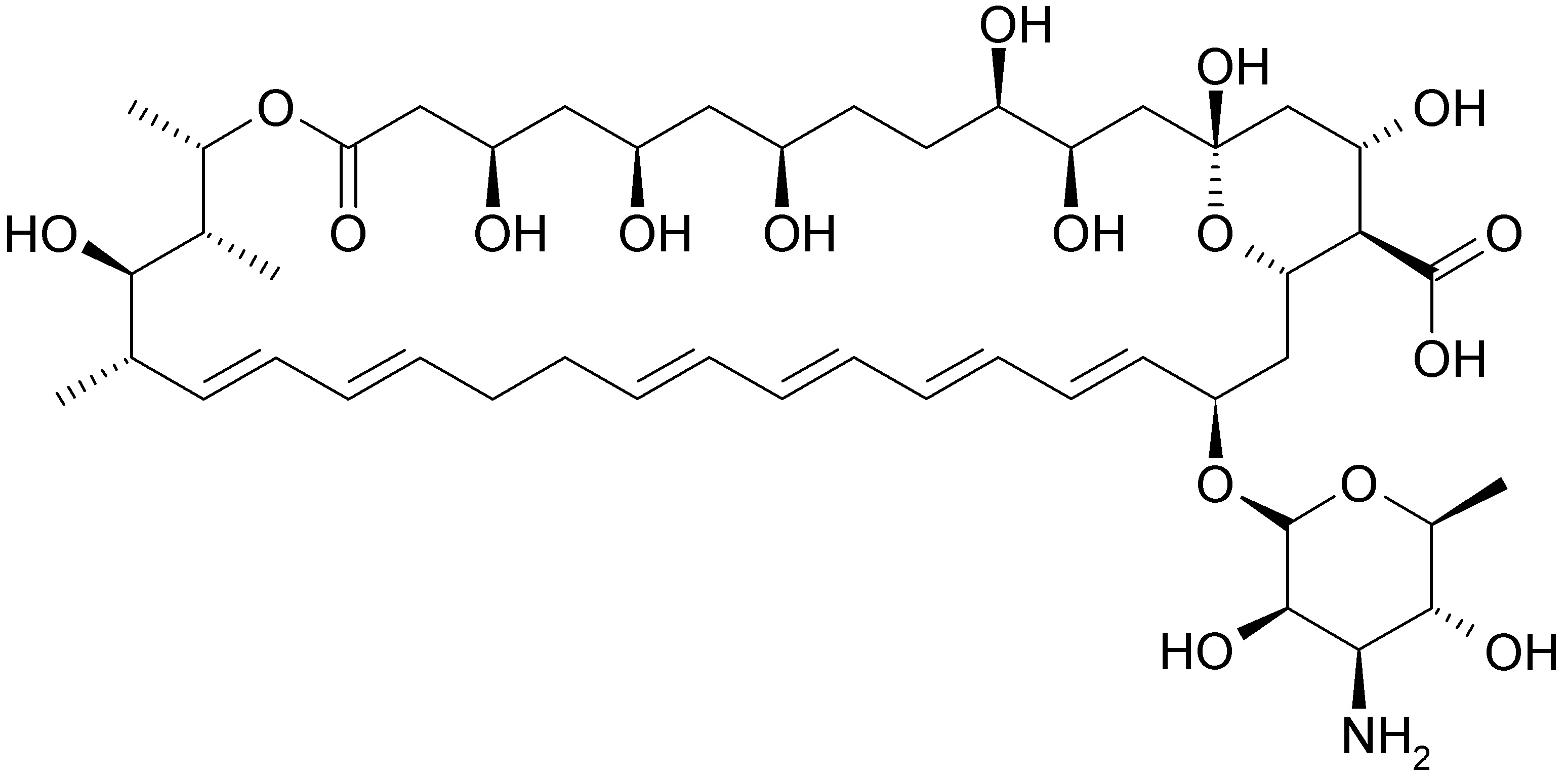
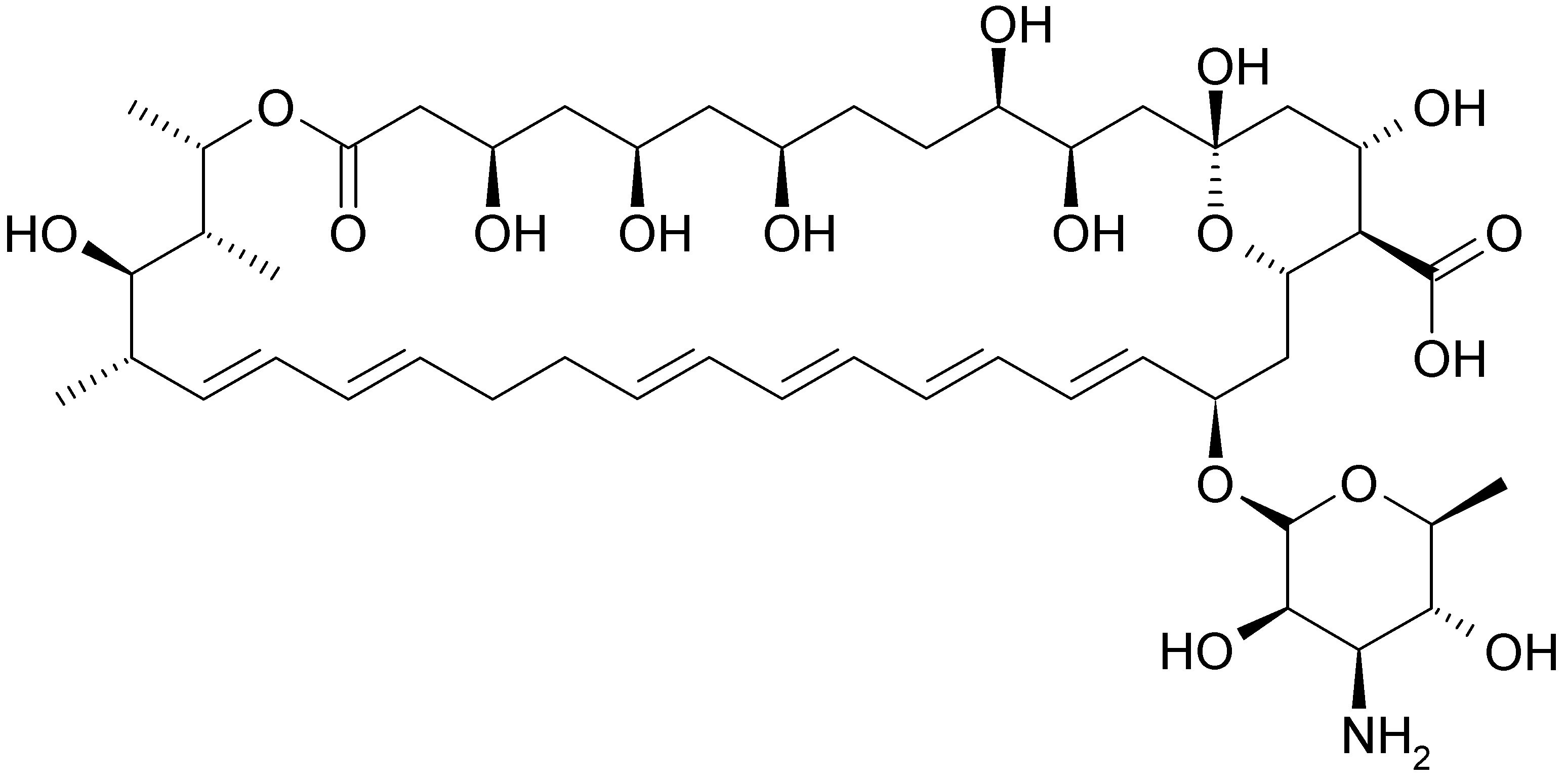
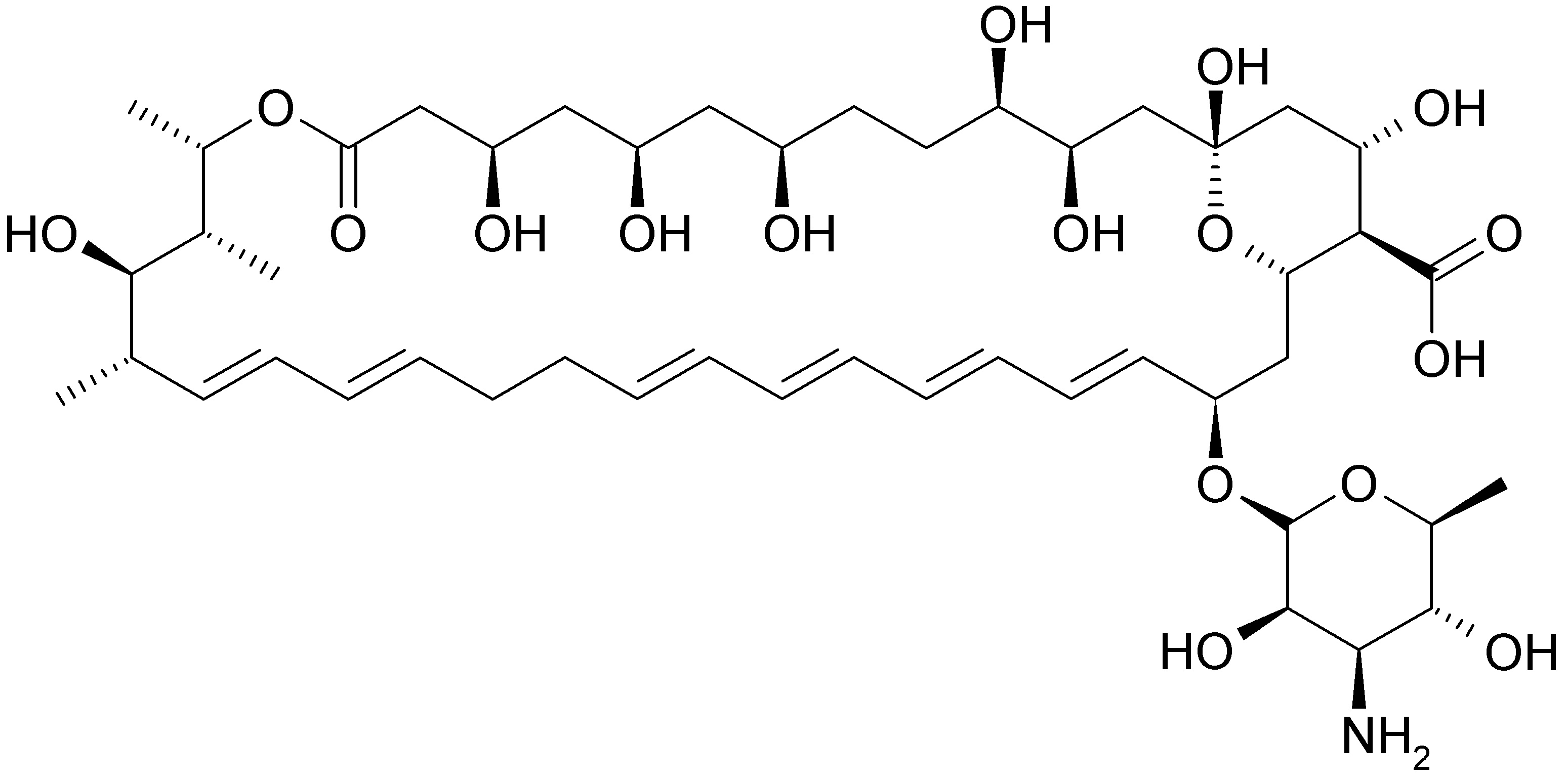
   Kémiai szerkezet   

Szájvíz
Kompatibilitás   Szájvíz   Kompatibilitás : Nystatin              
Hiányzó adat

  Mentions Légales