Última actualización :
18/03/2026
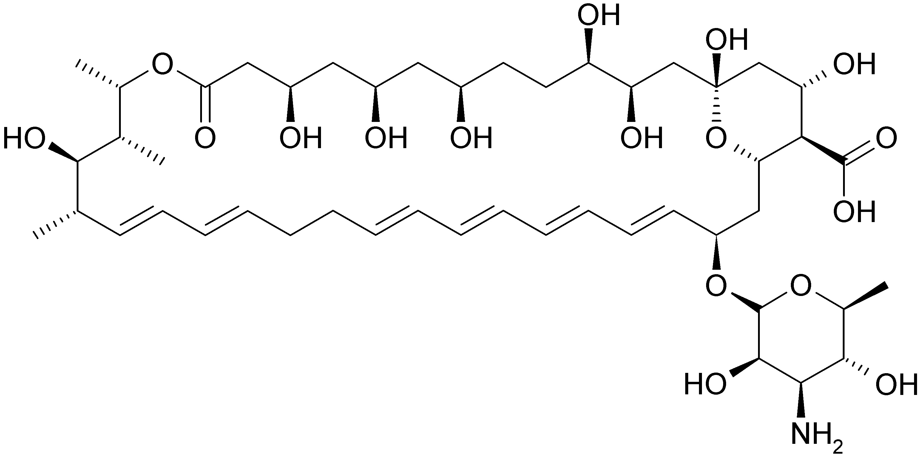
Antifúngico   Nystatin  
Enjuagues bucales
La estabilidad de las preparaciones farmacéuticas Estabilidad en mezcla Factores que influyen sobre la estabilidad Compatibilidades Bibliografía pdf
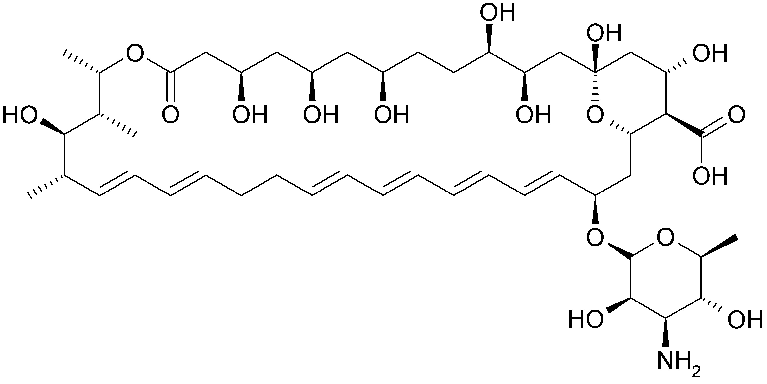
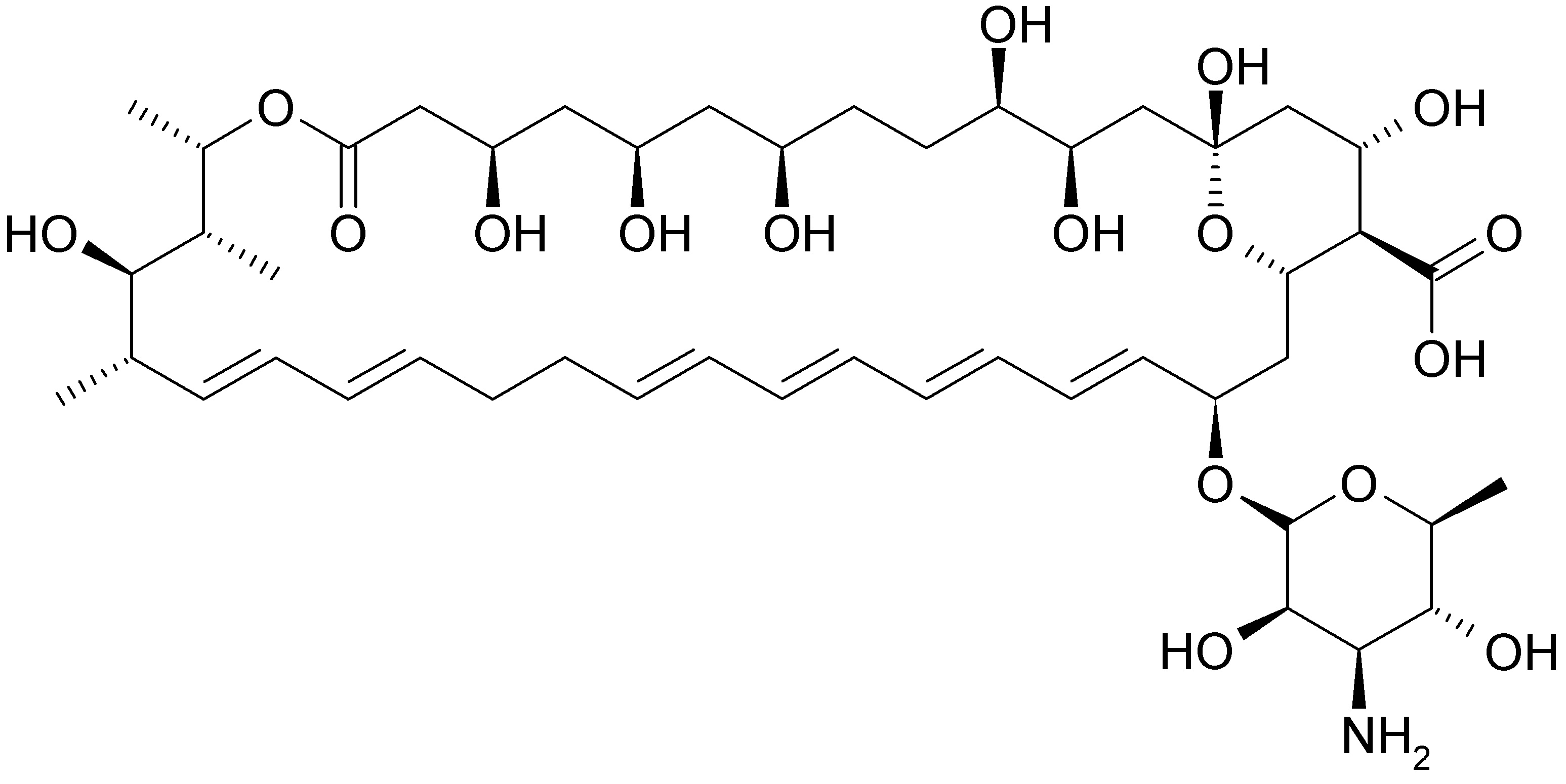
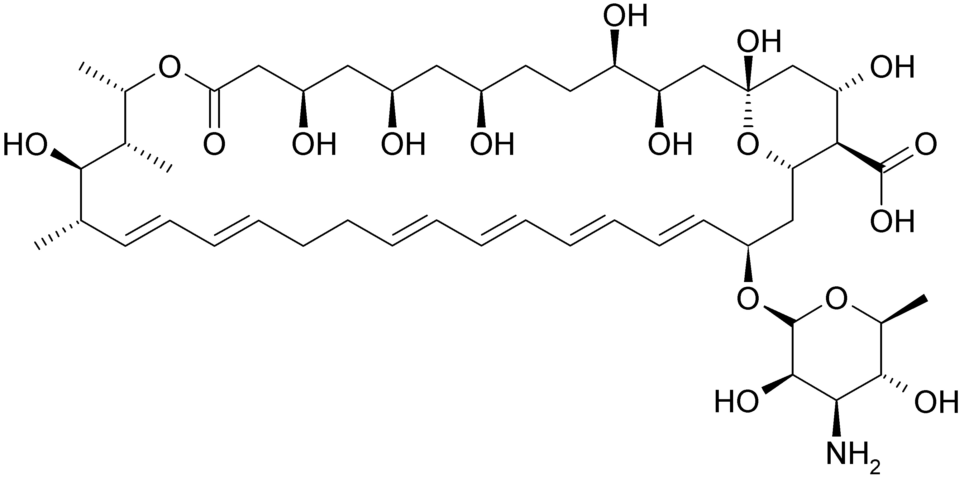
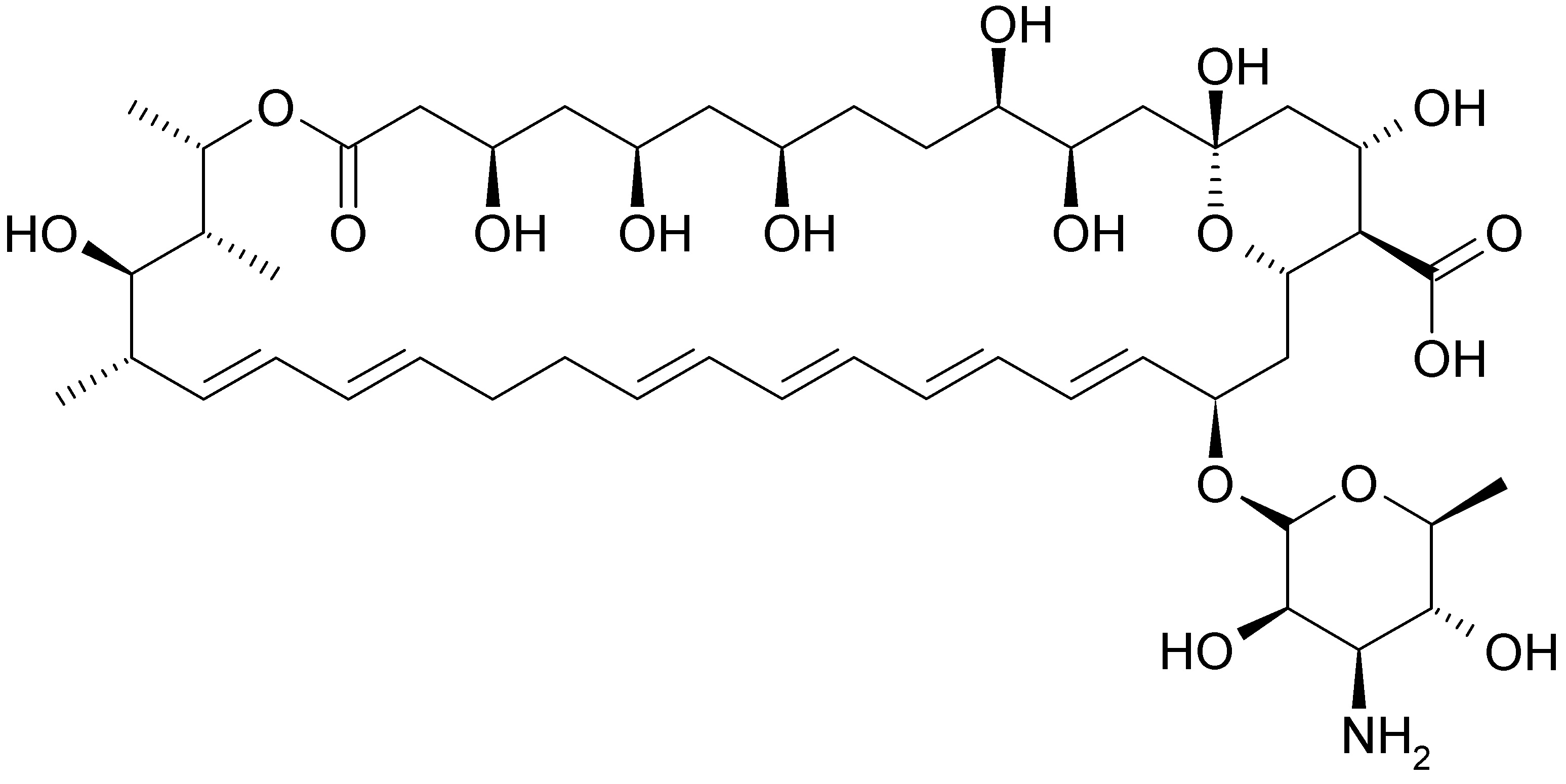
   Estructura química  

Enjuagues bucales
Compatibilidades   Enjuagues bucales   Compatibilidades : Nystatin              
Ausencia de datos

  Mentions Légales