Última actualización :
17/12/2025
fármacos contra el cáncer   Cabazitaxel  
Inyectables
Estabilidad en solucion Estabilidad en mezcla Factores que influyen sobre la estabilidad Compatibilidades método de inyección Bibliografía pdf
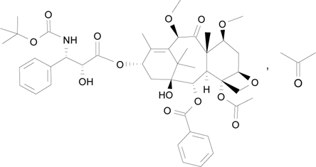
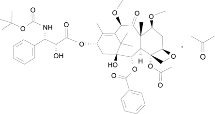
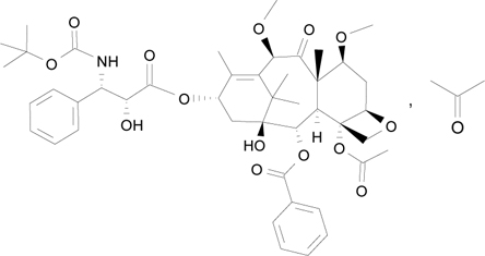
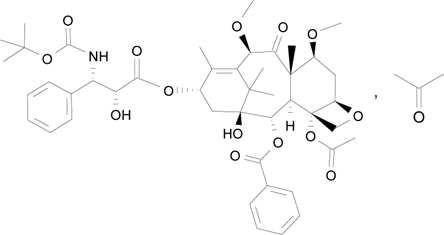
   Estructura química  

Nombre comercial   Nombre comercial     

Los nombres comerciales son orientativos y los excipientes de la formulación pueden ser distintos dependiendo del país y del laboratorio fabricante.

Cabazil Argentina
Cabazitaxel Alemania, Dinamarca, España, Finlandia
Cecalter Argentina
Jevtana Alemania, Argentina, Australia, Bélgica, Brasil, Canadá, Chile, Colombia, Dinamarca, Ecuador, Eslovenia, España, Estados Unidos de América, Finlandia, Francia, Gran Bretaña, Islandia, Italia, Malasia, Marruecos, México, Noruega, Rumania, Suiza, Turquía
Proazitax Brasil
Xatiza Chile
Zitat Argentina

Factores que influyen sobre la estabilidad   Inyectables   Factores que influyen sobre la estabilidad : Cabazitaxel        

  Mentions Légales