Viimeisin päivitys :
17/12/2025
syöpälääke   Cabazitaxel  
Injektioneste
Stabilius liuoksessa Stabilius seoksissa Tekijät, jotka vaikuttavat stabiliuteen Yhteensopivuus Antotapa Viitteet pdf
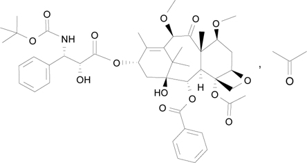
   Kemiallinen rakenne  

Kauppanimi   Kauppanimi     

Trade names are indicative and excipients composition can be different depending on the country and manufacturers

Cabazil Argentiina
Cabazitaxel Espanja, Saksa, Suomi, Tanska
Cecalter Argentiina
Jevtana Argentiina, Australia, Belgia, Brasilia, Chile, Ecuador, Espanja, Islanti, Iso-Britannia, Italia, Kanada, Kolumbia, Malesia, Marokko, Meksiko, Norja, Ranska, Romania, Saksa, Slovenia, Suomi, Sveitsi, Tanska, Turkki, Yhdysvallat
Proazitax Brasilia
Xatiza Chile
Zitat Argentiina

Tekijät, jotka vaikuttavat stabiliuteen   Injektioneste   Tekijät, jotka vaikuttavat stabiliuteen : Cabazitaxel        

  Mentions Légales