Last update :
17/12/2025
Anticancer drug   Cabazitaxel  
injection
Stability in solutions Stability of mixtures Factors which affect stability Compatibility Route of administration References pdf
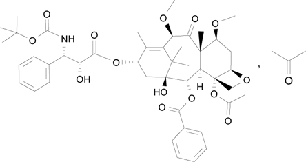
   Chemical structure  

Tradename   Tradename     

Trade names are indicative and excipients composition can be different depending on the country and manufacturers

Cabazil Argentina
Cabazitaxel Denmark, Finland, Germany, Spain
Cecalter Argentina
Jevtana Argentina, Australia, Belgium, Brazil, Canada, Chile, Colombia, Denmark, Ecuador, Finland, France, Germany, Great Britain, Iceland, Italy, Malaysia, Mexico, Norway, Peru, Romania, Slovenia, Spain, Switzerland, Turkey, United States of America
Proazitax Brazil
Xatiza Chile
Zitat Argentina

Factors which affect stability   injection   Factors which affect stability : Cabazitaxel        

  Mentions Légales