Dernière mise à jour :
08/12/2025
Anticancéreux   Cabazitaxel  
injectable
Stabilité des solutions Stabilité en mélange Facteur influençant la stabilité Compatibilités Voie d’administration Bibliographie pdf
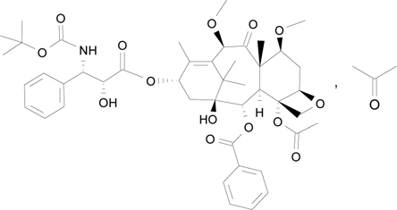
   Structure chimique  

Noms commerciaux   Noms commerciaux     

Les noms commerciaux sont donnés à titre indicatif et la composition en excipients peut être différente selon les pays et selon les laboratoires

Cabazil Argentine
Cabazitaxel Allemagne, Danemark, Espagne, Finlande
Cecalter Argentine
Jevtana Allemagne, Argentine, Australie, Belgique, Brésil, Canada, Chili, Colombie, Danemark, Equateur, Espagne, Etats Unis d’Amérique, Finlande, France, Grande Bretagne, Islande, Italie, Malaisie, Mexique, Norvège, Pérou, Roumanie, Slovénie, Suisse, Turquie
Proazitax Brésil
Xatiza Chili
Zitat Argentine

Facteur influençant la stabilité   injectable   Facteur influençant la stabilité : Cabazitaxel        

  Mentions Légales