Zadnji put ažurirano :
17/12/2025
lijek protiv karcinoma   Cabazitaxel  
injekcija
Stabilizacija rješenja Stabilnost mješavine Stabilizacijski faktor Kompatibilnosti način davanja lijeka Bibliografija pdf
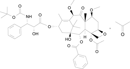
   Kemijska struktura  

Nekomercijalni   Nekomercijalni     

Zaštićeni nazivi su indikativni i sastav ekscipijensa može biti različit ovisno o državi i laboratorijima

Cabazil Argentina
Cabazitaxel Danska, Finska, Njemačka, Španjolska
Cecalter Argentina
Jevtana Argentina, Australija, Belgija, Brazil, Čile, Danska, Ekvador, Finska, Francuska, Island, Italija, Kanada, Kolumbija, Malezija, Meksiko, Njemačka, Norveška, Peru, Rumunjska, S A D, Slovenija, Španjolska, Švicarska, Turska, Velika Britanija
Proazitax Brazil
Xatiza Čile
Zitat Argentina

Stabilizacijski faktor   injekcija   Stabilizacijski faktor : Cabazitaxel        

  Mentions Légales