Τελευταία ενημέρωση :
17/12/2025
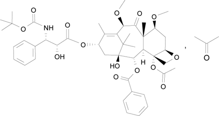
φάρμακο κατά του καρκίνου   Cabazitaxel  
Ενέσιμο
Σταθερότητα διαλυμάτων Σταθερότητα σε μίγματα Παράγοντας που επηρεάζει τη σταθερότητα Συμβατότητες Τρόπος χορήγησης Βιβλιογραφία pdf
   χημική δομή  

Εμπορική ονομασία   Εμπορική ονομασία     

Οι εμπορικές ονομασίες είναι ενδεικτικές και η σύνθεση των εκδόχων μπορεί να διαφέρει ανάλογα με τη χώρα και τα εργαστήρια

Cabazil Αργεντινή
Cabazitaxel Γερμανία, Δανία, Ισπανία, Φινλανδία
Cecalter Αργεντινή
Jevtana Αργεντινή, Αυστραλία, Βέλγιο, Βραζιλία, Γαλλία, Γερμανία, Δανία, Εκουαδόρ, Ελβετία, Η.Π.Α., Ισλανδία, Ισπανία, Ιταλία, Καναδάς, Κολομβία, Μαλαισία, Μεγάλη Βρετανία, Μεξικό, Νορβηγία, Περού, Ρουμανία, Σλοβενία, Τουρκία, Φινλανδία, Χιλή
Proazitax Βραζιλία
Xatiza Χιλή
Zitat Αργεντινή

Παράγοντας που επηρεάζει τη σταθερότητα   Ενέσιμο   Παράγοντας που επηρεάζει τη σταθερότητα : Cabazitaxel        

  Mentions Légales