Pēdējā atjaunošana :
17/12/2025
vēzis narkotiku   Cabazitaxel  
Injekcija
Šķīduma stabilitāte Maisījuma stabilitāte Stabilitāti ietekmējoši faktori Saderība Levadīšanas veids Literatūras saraksts pdf
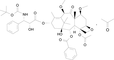
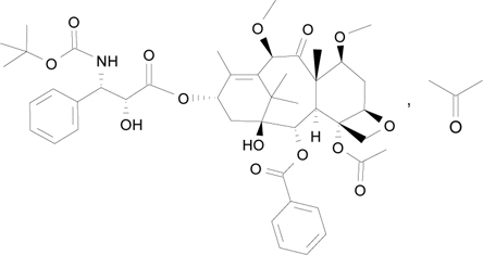
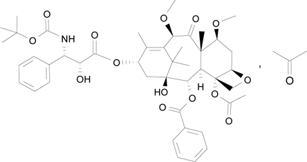
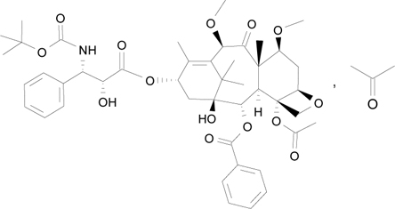
   Ķīmiskā uzbūve   

Oriģinālais nosaukums   Oriģinālais nosaukums     

Tirdzniecības nosaukumi ir apzīmējoši un palīgvielas var atšķirties dažādām valstīm un laboratorijām

Cabazil Argentīna
Cabazitaxel Dānija, Somija, Spānija, Vācija
Cecalter Argentīna
Jevtana Amerikas Savienotās Valstis, Argentīna, Austrālija, Beļģija, Brazīlija, Čīle, Dānija, Ekvadora, Francija, Islande, Itālija, Kanāda, Kolumbija, Lielbritānija, Malaizija, Meksika, Norvēģija, Peru, Rumānija, Slovēnija, Somija, Spānija, Šveice, Turcija, Vācija
Proazitax Brazīlija
Xatiza Čīle
Zitat Argentīna

Stabilitāti ietekmējoši faktori   Injekcija   Stabilitāti ietekmējoši faktori : Cabazitaxel        

  Mentions Légales