Seneste opdatering :
17/12/2025
anticancer medicin   Cabazitaxel  
Injektion
Stabilitet i (vandige) opløsninger Stabilitet i blandinger Faktorer der påvirker stabiliteten Kompatibilitet Administrationsvej Bibliografi pdf
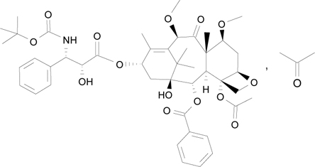
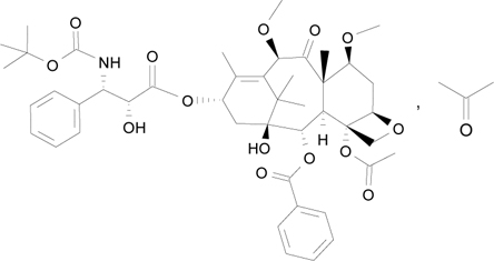
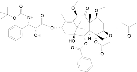
   Kemisk struktur  

Handelsnavn   Handelsnavn     

Handel navne er vejledende og hjælpestoffer sammensætning kan være forskellig afhængigt af landet og laboratorier

Cabazil Argentina
Cabazitaxel Danmark, Finland, Spanien, Tyskland
Cecalter Argentina
Jevtana Argentina, Australien, Belgien, Brasilien, Canada, Chile, Colombia, Danmark, Ecuador, Finland, Frankrig, Island, Italien, Malaysia, Marokko, Mexico, Norge, Rumænien, Schweiz, Slovenien, Spanien, Storbritanien, Tyrkiet, Tyskland, USA
Proazitax Brasilien
Xatiza Chile
Zitat Argentina

Faktorer der påvirker stabiliteten   Injektion   Faktorer der påvirker stabiliteten : Cabazitaxel        

  Mentions Légales