Ultimo aggiornamento :
17/12/2025
farmaco contro il cancro   Cabazitaxel  
Iniezione
Stabilità in soluzione Stabilità in miscela Fattori che influenzano la stabilità Compatibilità metodo di iniezione Bibliografia pdf
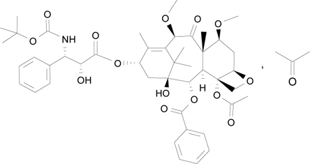
   Struttura chimica  

Nome commerciale   Nome commerciale     

Trade names are indicative and excipients composition can be different depending on the country and manufacturers

Cabazil Argentina
Cabazitaxel Danimarca, Finlandia, Germania, Spagna
Cecalter Argentina
Jevtana Argentina, Australia, Belgio, Brasile, Canada, Chile, Colombia, Danimarca, Ecuador, Finlandia, Francia, Germania, Gran Bretagna, Islanda, Italia, Malaysia, Messico, Norvegia, Perù, Romania, Slovenia, Spagna, Stati Uniti d’America, Svizzera, Turchia
Proazitax Brasile
Xatiza Chile
Zitat Argentina

Fattori che influenzano la stabilità   Iniezione   Fattori che influenzano la stabilità : Cabazitaxel        

  Mentions Légales