viimane versioon :
17/12/2025
vähiravimite   Cabazitaxel  
Süsteravim
Stabiilsus lahustes Stabiilsust mõjutavad tegurid stabiilsust mõjutavad faktorid Sobimatus Manustamis viis Viited pdf
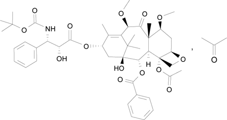
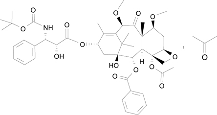
   keemiline struktuur  

Kaubanduslikud nimed erinevates maades   Kaubanduslikud nimed erinevates maades     

Preparaatide nimed on näitlikud ja abianete sisaldus võib erineda sõltuvalt riigist ja laborist

Cabazil Argentiina
Cabazitaxel Hispaania, Saksamaa, Soome, Taani
Cecalter Argentiina
Jevtana Ameerika ühendriigid, Argentiina, Austraalia, Belgia, Brasiilia, Ecuador, Hispaania, Island, Itaalia, Kanada, Kolumbia, Malaisia, Maroko, Mehhiko, Norra, Prantsusmaa, Rumeenia, Saksamaa, Sloveenia, Soome, Suurbritannia, Sveits, Taani, Tšiili, Türgi
Proazitax Brasiilia
Xatiza Tšiili
Zitat Argentiina

stabiilsust mõjutavad faktorid   Süsteravim   stabiilsust mõjutavad faktorid : Cabazitaxel        

  Mentions Légales