Последно актуализиране :
17/12/2025
противораково лекарство   Cabazitaxel  
Инжекция/Инжекционен
Стабилност на разтвори Стабилност на смеси Фактори, повлияващи стабилността Съвместимост Път на въвеждане Библиография Pdf
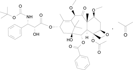
   Химична структура  

Търговско наименование   Търговско наименование     

Търговските имена са примерни и съставът на помощните вещества може да бъде различен в зависимост от държавата и лабораториите

Cabazil Аржентина
Cabazitaxel Германия, Дания, Испания, Финландия
Cecalter Аржентина
Jevtana Австралия, Аржентина, Белгия, Бразилия, Великобритания, Германия, Дания, Еквадор, Исландия, Испания, Италия, Канада, Колумбия, Малайзия, Мексико, Норвегия, Перу, Румъния, Словения, Съединени Американски щати / САЩ, Турция, Финландия, Франция, Чили, Швейцария
Proazitax Бразилия
Xatiza Чили
Zitat Аржентина

Фактори, повлияващи стабилността   Инжекция/Инжекционен   Фактори, повлияващи стабилността : Cabazitaxel        

  Mentions Légales