Ultimele actualizari :
27/11/2025
electrolit   Calcium gluconate  
Unguente
Injectabil
Stabilitatea preparatelor farmaceutice Stabilitatea in amestec Factorii care influenteaza stabilitatea Compatibilitate Bibliografie pdf
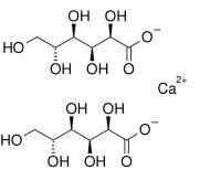
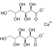
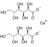
   Formula chimica  

Unguente
Stabilitatea in amestec   Unguente   Stabilitatea in amestec : Calcium gluconate     
Absenta de date

  Mentions Légales