Zadnji put ažurirano :
27/11/2025
elektrolita   Calcium gluconate  
masti
injekcija
Stabilnost farmaceutskih pripravaka Stabilnost mješavine Stabilizacijski faktor Kompatibilnosti Bibliografija pdf
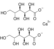
   Kemijska struktura  

masti
Stabilnost mješavine   masti   Stabilnost mješavine : Calcium gluconate     
bez podataka

  Mentions Légales