Siste oppdatering :
27/11/2025
elektrolytt   Calcium gluconate  
Salver
Injeksjon
Stabilitet av farmasøytiske preparater Stabilitet i blandinger Faktorer som påvirker stabiliteten Kompatibilitet Referanser pdf
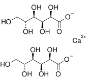
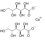
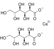
   Kjemisk struktur  

Salver
Stabilitet i blandinger   Salver   Stabilitet i blandinger : Calcium gluconate     
Ingen opplysninger

  Mentions Légales