Poslední aktualizace :
18/03/2026
elektrolitas   Calcium gluconate  
Tepalai
Įpurškimas
Stabilumas farmacinių preparatų Mišinių stabilumas Stabilumą lemiantys veiksniai Suderinamumas Bibliografija pdf
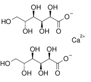
   Cheminė sandara  

Tepalai
Mišinių stabilumas   Tepalai   Mišinių stabilumas : Calcium gluconate     
Nėra duomenų

  Mentions Légales