Ultimo aggiornamento :
27/11/2025
elettrolito   Calcium gluconate  
Unguenti
Iniezione
Stabilità dei preparati farmaceutici Stabilità in miscela Fattori che influenzano la stabilità Compatibilità Bibliografia pdf
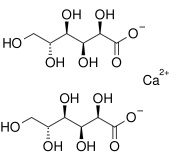
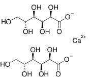
   Struttura chimica  

Unguenti
Stabilità in miscela   Unguenti   Stabilità in miscela : Calcium gluconate     
Assenza di dati

  Mentions Légales